Simulation Stats

Test Case Name
eveningTest
Number of Points [ – ]
5
Machine Type
fan
Rotation Speed [ RPM ]
4500.00
Number of Components [ – ]
(topology)
7
Mesh Size [ cells ]
(details)
inletPipe1 : 33093
impeller1 : 113970
vanedGate1 : 96702
outletPipe : 118720
inletPipe2 : 33098
impeller2 : 113894
vanedGate2 : 96729
Total : 606206
Average y+ at walls [ – ]
(details)
263.904
Wall-clock time [ hh:mm:ss ]
00:11:17
Parallel Processors [ – ]
24
Fluid Name
air
Compressibility
incompressible

Fan Characteristic

1:inletPipe1-inlet — 3:vanedGate1-outlet
Point Nr.
Flow number [ – ]
Compression number [ – ]
1
0.337541
0.460695
2
0.295348
0.585544
3
0.253156
0.679111
4
0.210963
0.739843
5
0.168770
0.730915

Efficiency

1:inletPipe1-inlet — 3:vanedGate1-outlet
Point Nr.
Flow Rate [ m3/s ]
Efficiency [ – ]
1
4.00000
0.630557
2
3.50000
0.722858
3
3.00000
0.761843
4
2.50000
0.759582
5
2.00000
0.693450

Torque

Point Nr.
Torque [ N.m ]
1
33.0160
2
31.9551
3
30.0608
4
27.3183
5
23.6605

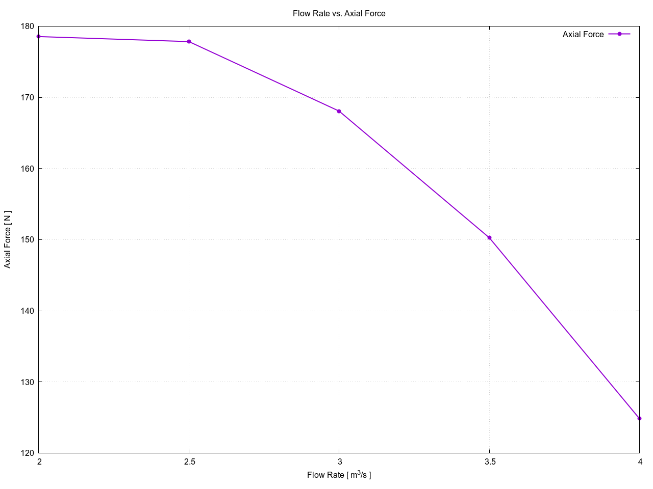
Axial Force

Point Nr.
Axial Force [ N ]
1
124.833
2
150.262
3
168.063
4
177.830
5
178.535

Total Pressure Difference

1:inletPipe1-inlet — 3:vanedGate1-outlet
Point Nr.
Flow Rate [ m3/s ]
Total Pressure Difference [ Pa ]
1
4.00000
2455.31
2
3.50000
3120.71
3
3.00000
3619.38
4
2.50000
3943.06
5
2.00000
3895.48

Total Pressure per Interfaces

Point Nr.
Interface Name
Flow Rate [ m3/s ]
Total Pressure [ Pa ]
1
inletPipe1-in
4.00000
102320.
1
inletPipe1-to-impeller1
4.00000
102195.
1
impeller1-from-inletPipe1
3.99687
102195.
1
impeller1-to-vanedGate1
3.99687
105178.
1
vanedGate1-from-impeller1
3.99680
105159.
1
vanedGate1-to-outletPipe
3.99680
104775.
1
outletPipe-from-vanedGate1
4.00266
104725.
1
outletPipe-from-vanedGate2
4.00296
104731.
1
outletPipe-out
8.00563
103969.
1
inletPipe2-in
4.00000
102328.
1
inletPipe2-to-impeller2
4.00000
102203.
1
impeller2-from-inletPipe2
3.99710
102204.
1
impeller2-to-vanedGate2
3.99710
105183.
1
vanedGate2-from-impeller2
3.99723
105164.
1
vanedGate2-to-outletPipe
3.99723
104781.
2
inletPipe1-in
3.50000
100960.
2
inletPipe1-to-impeller1
3.50000
100862.
2
impeller1-from-inletPipe1
3.49724
100863.
2
impeller1-to-vanedGate1
3.49724
104454.
2
vanedGate1-from-impeller1
3.49715
104426.
2
vanedGate1-to-outletPipe
3.49715
104080.
2
outletPipe-from-vanedGate1
3.50205
104034.
2
outletPipe-from-vanedGate2
3.50240
104038.
2
outletPipe-out
7.00444
103355.
2
inletPipe2-in
3.50000
100966.
2
inletPipe2-to-impeller2
3.50000
100869.
2
impeller2-from-inletPipe2
3.49744
100869.
2
impeller2-to-vanedGate2
3.49744
104458.
2
vanedGate2-from-impeller2
3.49759
104430.
2
vanedGate2-to-outletPipe
3.49759
104084.
3
inletPipe1-in
3.00000
99853.8
3
inletPipe1-to-impeller1
3.00000
99781.3
3
impeller1-from-inletPipe1
2.99759
99781.6
3
impeller1-to-vanedGate1
2.99759
103890.
3
vanedGate1-from-impeller1
2.99748
103848.
3
vanedGate1-to-outletPipe
2.99749
103473.
3
outletPipe-from-vanedGate1
3.00182
103425.
3
outletPipe-from-vanedGate2
3.00219
103427.
3
outletPipe-out
6.00401
102829.
3
inletPipe2-in
3.00000
99857.7
3
inletPipe2-to-impeller2
3.00000
99785.2
3
impeller2-from-inletPipe2
2.99777
99785.5
3
impeller2-to-vanedGate2
2.99777
103891.
3
vanedGate2-from-impeller2
2.99793
103849.
3
vanedGate2-to-outletPipe
2.99793
103476.
4
inletPipe1-in
2.50000
99062.2
4
inletPipe1-to-impeller1
2.50000
99010.1
4
impeller1-from-inletPipe1
2.49791
99010.3
4
impeller1-to-vanedGate1
2.49791
103536.
4
vanedGate1-from-impeller1
2.49778
103479.
4
vanedGate1-to-outletPipe
2.49778
103005.
4
outletPipe-from-vanedGate1
2.50270
102947.
4
outletPipe-from-vanedGate2
2.50310
102946.
4
outletPipe-out
5.00580
102386.
4
inletPipe2-in
2.50000
99062.9
4
inletPipe2-to-impeller2
2.50000
99010.8
4
impeller2-from-inletPipe2
2.49806
99011.0
4
impeller2-to-vanedGate2
2.49806
103533.
4
vanedGate2-from-impeller2
2.49824
103476.
4
vanedGate2-to-outletPipe
2.49824
103004.
5
inletPipe1-in
2.00000
98849.2
5
inletPipe1-to-impeller1
2.00000
98813.0
5
impeller1-from-inletPipe1
1.99818
98813.2
5
impeller1-to-vanedGate1
1.99818
103621.
5
vanedGate1-from-impeller1
1.99803
103543.
5
vanedGate1-to-outletPipe
1.99803
102745.
5
outletPipe-from-vanedGate1
2.00472
102678.
5
outletPipe-from-vanedGate2
2.00509
102675.
5
outletPipe-out
4.00980
102046.
5
inletPipe2-in
2.00000
98851.0
5
inletPipe2-to-impeller2
2.00000
98814.8
5
impeller2-from-inletPipe2
1.99830
98815.0
5
impeller2-to-vanedGate2
1.99830
103619.
5
vanedGate2-from-impeller2
1.99849
103540.
5
vanedGate2-to-outletPipe
1.99849
102742.

Velocity Magnitude per Interfaces

Point Nr.
Interface Name
Flow Rate [ m3/s ]
Velocity Magnitude [ m/s ]
1
inletPipe1-in
4.00000
31.8552
1
inletPipe1-to-impeller1
4.00000
62.6782
1
impeller1-from-inletPipe1
3.99687
62.6903
1
impeller1-to-vanedGate1
3.99687
74.8847
1
vanedGate1-from-impeller1
3.99680
74.7213
1
vanedGate1-to-outletPipe
3.99680
65.6274
1
outletPipe-from-vanedGate1
4.00266
65.1264
1
outletPipe-from-vanedGate2
4.00296
65.1337
1
outletPipe-out
8.00563
66.1448
1
inletPipe2-in
4.00000
31.8552
1
inletPipe2-to-impeller2
4.00000
62.6826
1
impeller2-from-inletPipe2
3.99710
62.6946
1
impeller2-to-vanedGate2
3.99710
74.8844
1
vanedGate2-from-impeller2
3.99723
74.7207
1
vanedGate2-to-outletPipe
3.99723
65.6359
2
inletPipe1-in
3.50000
27.8733
2
inletPipe1-to-impeller1
3.50000
54.8587
2
impeller1-from-inletPipe1
3.49724
54.8699
2
impeller1-to-vanedGate1
3.49724
71.1016
2
vanedGate1-from-impeller1
3.49715
70.8511
2
vanedGate1-to-outletPipe
3.49715
58.1490
2
outletPipe-from-vanedGate1
3.50205
57.6530
2
outletPipe-from-vanedGate2
3.50240
57.6565
2
outletPipe-out
7.00444
57.9794
2
inletPipe2-in
3.50000
27.8733
2
inletPipe2-to-impeller2
3.50000
54.8628
2
impeller2-from-inletPipe2
3.49744
54.8739
2
impeller2-to-vanedGate2
3.49744
71.0983
2
vanedGate2-from-impeller2
3.49759
70.8473
2
vanedGate2-to-outletPipe
3.49759
58.1544
3
inletPipe1-in
3.00000
23.8914
3
inletPipe1-to-impeller1
3.00000
47.0771
3
impeller1-from-inletPipe1
2.99759
47.0892
3
impeller1-to-vanedGate1
2.99759
68.3698
3
vanedGate1-from-impeller1
2.99748
67.9521
3
vanedGate1-to-outletPipe
2.99749
51.2845
3
outletPipe-from-vanedGate1
3.00182
50.7363
3
outletPipe-from-vanedGate2
3.00219
50.7342
3
outletPipe-out
6.00401
49.9063
3
inletPipe2-in
3.00000
23.8914
3
inletPipe2-to-impeller2
3.00000
47.0812
3
impeller2-from-inletPipe2
2.99777
47.0933
3
impeller2-to-vanedGate2
2.99777
68.3637
3
vanedGate2-from-impeller2
2.99793
67.9448
3
vanedGate2-to-outletPipe
2.99793
51.2834
4
inletPipe1-in
2.50000
19.9095
4
inletPipe1-to-impeller1
2.50000
39.3623
4
impeller1-from-inletPipe1
2.49791
39.3786
4
impeller1-to-vanedGate1
2.49791
66.7742
4
vanedGate1-from-impeller1
2.49778
66.1514
4
vanedGate1-to-outletPipe
2.49778
45.7416
4
outletPipe-from-vanedGate1
2.50270
45.0242
4
outletPipe-from-vanedGate2
2.50310
45.0082
4
outletPipe-out
5.00580
41.9020
4
inletPipe2-in
2.50000
19.9095
4
inletPipe2-to-impeller2
2.50000
39.3674
4
impeller2-from-inletPipe2
2.49806
39.3837
4
impeller2-to-vanedGate2
2.49806
66.7660
4
vanedGate2-from-impeller2
2.49824
66.1414
4
vanedGate2-to-outletPipe
2.49824
45.7256
5
inletPipe1-in
2.00000
15.9276
5
inletPipe1-to-impeller1
2.00000
31.8193
5
impeller1-from-inletPipe1
1.99818
31.8453
5
impeller1-to-vanedGate1
1.99818
66.4052
5
vanedGate1-from-impeller1
1.99803
65.4946
5
vanedGate1-to-outletPipe
1.99803
45.2494
5
outletPipe-from-vanedGate1
2.00472
44.3610
5
outletPipe-from-vanedGate2
2.00509
44.3841
5
outletPipe-out
4.00980
34.4470
5
inletPipe2-in
2.00000
15.9276
5
inletPipe2-to-impeller2
2.00000
31.8337
5
impeller2-from-inletPipe2
1.99830
31.8597
5
impeller2-to-vanedGate2
1.99830
66.3937
5
vanedGate2-from-impeller2
1.99849
65.4781
5
vanedGate2-to-outletPipe
1.99849
45.2671

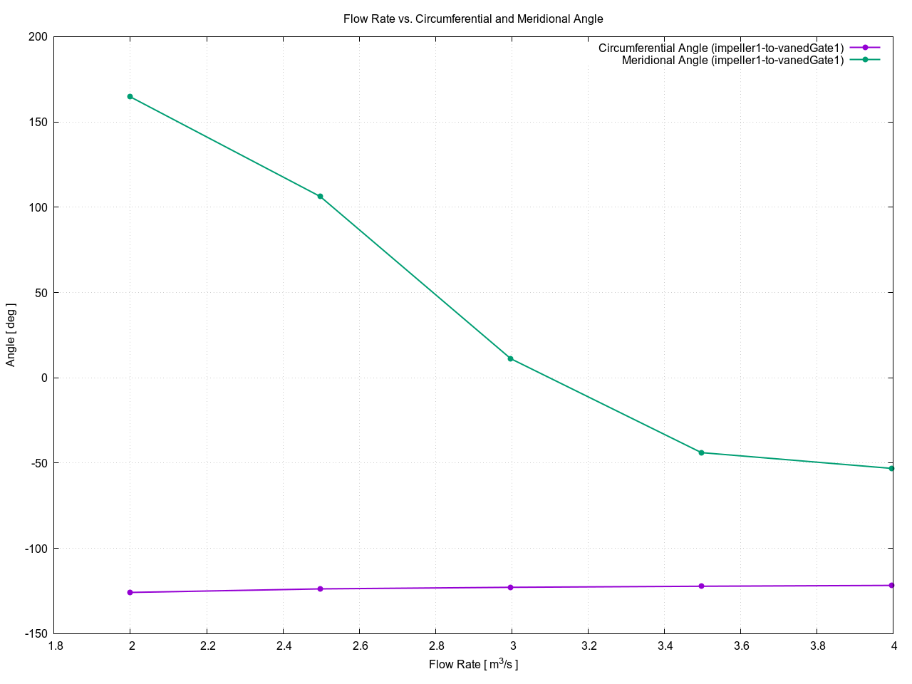
Circumferential and Meridional Angle

Point Nr.
Interface Name
Flow Rate [ m3/s ]
Circumferential Angle [ deg ]
Meridional Angle [ deg ]
1
inletPipe1-in
4.00000
-90.0000
179.792
1
inletPipe1-to-impeller1
4.00000
-89.8570
178.332
1
impeller1-from-inletPipe1
3.99687
-142.076*
178.219*
1
impeller1-to-vanedGate1
3.99687
-121.728*
-53.1393*
1
vanedGate1-from-impeller1
3.99680
-57.0228
-89.0676
1
vanedGate1-to-outletPipe
3.99680
-75.4682
-72.8868
1
outletPipe-from-vanedGate1
4.00266
98.7762
-41.0588
1
outletPipe-from-vanedGate2
4.00296
98.7097
-41.0135
1
outletPipe-out
8.00563
102.859
0.0904425
1
inletPipe2-in
4.00000
-90.0000
179.792
1
inletPipe2-to-impeller2
4.00000
-89.8577
178.331
1
impeller2-from-inletPipe2
3.99710
-142.075*
178.240*
1
impeller2-to-vanedGate2
3.99710
-121.726*
-53.4161*
1
vanedGate2-from-impeller2
3.99723
-57.0312
-87.7664
1
vanedGate2-to-outletPipe
3.99723
-75.4807
-72.0333
2
inletPipe1-in
3.50000
-90.0000
179.792
2
inletPipe1-to-impeller1
3.50000
-89.8305
178.315
2
impeller1-from-inletPipe1
3.49724
-145.692*
178.157*
2
impeller1-to-vanedGate1
3.49724
-122.211*
-43.8638*
2
vanedGate1-from-impeller1
3.49715
-50.7151
-34.3826
2
vanedGate1-to-outletPipe
3.49715
-74.8303
-74.6030
2
outletPipe-from-vanedGate1
3.50205
99.1713
-41.0808
2
outletPipe-from-vanedGate2
3.50240
99.1061
-41.0376
2
outletPipe-out
7.00444
103.253
0.142013
2
inletPipe2-in
3.50000
-90.0000
179.792
2
inletPipe2-to-impeller2
3.50000
-89.8310
178.314
2
impeller2-from-inletPipe2
3.49744
-145.690*
178.179*
2
impeller2-to-vanedGate2
3.49744
-122.210*
-46.3470*
2
vanedGate2-from-impeller2
3.49759
-50.7249
-38.2143
2
vanedGate2-to-outletPipe
3.49759
-74.8406
-74.1443
3
inletPipe1-in
3.00000
-90.0000
179.792
3
inletPipe1-to-impeller1
3.00000
-89.7854
178.309
3
impeller1-from-inletPipe1
2.99759
-149.638*
178.088*
3
impeller1-to-vanedGate1
2.99759
-122.828*
11.1652*
3
vanedGate1-from-impeller1
2.99748
-43.7693
179.158
3
vanedGate1-to-outletPipe
2.99749
-74.1619
-86.0698
3
outletPipe-from-vanedGate1
3.00182
99.5968
-41.1034
3
outletPipe-from-vanedGate2
3.00219
99.5466
-41.0652
3
outletPipe-out
6.00401
104.006
0.156989
3
inletPipe2-in
3.00000
-90.0000
179.792
3
inletPipe2-to-impeller2
3.00000
-89.7855
178.308
3
impeller2-from-inletPipe2
2.99777
-149.636*
178.107*
3
impeller2-to-vanedGate2
2.99777
-122.829*
11.7050*
3
vanedGate2-from-impeller2
2.99793
-43.7793
179.313
3
vanedGate2-to-outletPipe
2.99793
-74.1681
-85.7974
4
inletPipe1-in
2.50000
-90.0000
179.792
4
inletPipe1-to-impeller1
2.50000
-89.6962
178.332
4
impeller1-from-inletPipe1
2.49791
-153.903*
177.360*
4
impeller1-to-vanedGate1
2.49791
-123.741*
106.252*
4
vanedGate1-from-impeller1
2.49778
-36.3672
178.045
4
vanedGate1-to-outletPipe
2.49778
-73.5809
-113.595
4
outletPipe-from-vanedGate1
2.50270
99.9755
-41.0511
4
outletPipe-from-vanedGate2
2.50310
99.9883
-41.0869
4
outletPipe-out
5.00580
105.202
0.172921
4
inletPipe2-in
2.50000
-90.0000
179.792
4
inletPipe2-to-impeller2
2.50000
-89.6957
178.333
4
impeller2-from-inletPipe2
2.49806
-153.900*
177.196*
4
impeller2-to-vanedGate2
2.49806
-123.741*
108.347*
4
vanedGate2-from-impeller2
2.49824
-36.3752
178.077
4
vanedGate2-to-outletPipe
2.49824
-73.5831
-113.398
5
inletPipe1-in
2.00000
-90.0000
179.792
5
inletPipe1-to-impeller1
2.00000
-89.4915
168.846
5
impeller1-from-inletPipe1
1.99818
-158.422*
167.060*
5
impeller1-to-vanedGate1
1.99818
-125.832*
164.893*
5
vanedGate1-from-impeller1
1.99803
-29.3258
173.034
5
vanedGate1-to-outletPipe
1.99803
-66.6425
-87.7873
5
outletPipe-from-vanedGate1
2.00472
96.1593
-37.8850
5
outletPipe-from-vanedGate2
2.00509
96.2382
-37.5533
5
outletPipe-out
4.00980
108.966
0.240386
5
inletPipe2-in
2.00000
-90.0000
179.792
5
inletPipe2-to-impeller2
2.00000
-89.4881
168.731
5
impeller2-from-inletPipe2
1.99830
-158.415*
166.718*
5
impeller2-to-vanedGate2
1.99830
-125.848*
165.201*
5
vanedGate2-from-impeller2
1.99849
-29.3388
172.999
5
vanedGate2-to-outletPipe
1.99849
-66.5651
-88.5398
(*) Calculated from the relative velocity.