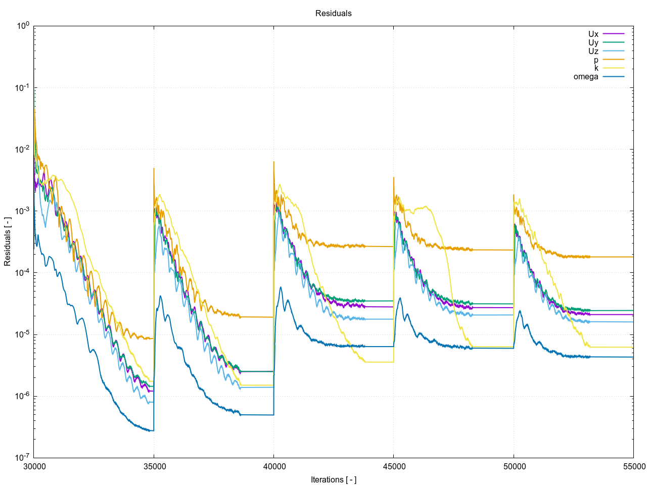
Simulation Stats

Test Case Name
eveningTest
Number of Points [ – ]
5
Machine Type
turbine
Rotation Speed [ RPM ]
180000.
Number of Components [ – ]
(topology)
4
Mesh Size [ cells ]
(details)
volute : 43257
stator : 131901
rotor : 925946
pipe : 17269
Total : 1118373
Average y+ at walls [ – ]
(details)
33.6347
Wall-clock time [ hh:mm:ss ]
02:35:00
Parallel Processors [ – ]
24
Fluid Name
air
Compressibility
compressible

Efficiency

1:spiral-inflow — 4:outletPipe-outflow
Point Nr.
Flow Rate [ kg/s ]
Efficiency [ – ]
1
0.0594682
0.678192
2
0.0522924
0.691439
3
0.0446700
0.700501
4
0.0372095
0.690868
5
0.0340261
0.676967

Torque

Point Nr.
Torque [ N.m ]
1
0.431173
2
0.346102
3
0.259148
4
0.180172
5
0.149060

Axial Force

Point Nr.
Axial Force [ N ]
1
-29.6615
2
-31.6832
3
-33.8212
4
-35.8779
5
-36.7319

Total Pressure Difference

1:spiral-inflow — 4:outletPipe-outflow
Point Nr.
Flow Rate [ kg/s ]
Total Pressure Difference [ Pa ]
1
0.0594682
-114588.
2
0.0522924
-96709.8
3
0.0446700
-78504.1
4
0.0372095
-61779.5
5
0.0340261
-55158.2

Total Pressure Ratio

1:spiral-inflow — 4:outletPipe-outflow
Point Nr.
Flow Rate [ kg/s ]
Total Pressure Ratio [ – ]
1
0.0594682
2.03790
2
0.0522924
1.89312
3
0.0446700
1.73720
4
0.0372095
1.58717
5
0.0340261
1.52613

Total Pressure per Interfaces

Point Nr.
Interface Name
Flow Rate [ kg/s ]
Total Pressure [ Pa ]
1
volute-in
0.0594682
224991.
1
volute-to-stator
0.0594681
220462.
1
stator-from-volute
0.0595002
220444.
1
stator-to-rotor
0.0594998
212274.
1
rotor-from-stator
0.0594997
212303.
1
rotor-to-pipe
0.0594995
111584.
1
pipe-from-rotor
0.0594965
111580.
1
pipe-out
0.0594967
110403.
2
volute-in
0.0522924
204992.
2
volute-to-stator
0.0522946
201165.
2
stator-from-volute
0.0523224
201149.
2
stator-to-rotor
0.0523229
194382.
2
rotor-from-stator
0.0523228
194402.
2
rotor-to-pipe
0.0523216
109475.
2
pipe-from-rotor
0.0523193
109472.
2
pipe-out
0.0523194
108283.
3
volute-in
0.0446700
184994.
3
volute-to-stator
0.0446672
181913.
3
stator-from-volute
0.0446904
181901.
3
stator-to-rotor
0.0446894
176539.
3
rotor-from-stator
0.0446893
176550.
3
rotor-to-pipe
0.0446730
107826.
3
pipe-from-rotor
0.0446713
107823.
3
pipe-out
0.0446712
106490.
4
volute-in
0.0372095
166996.
4
volute-to-stator
0.0372071
164676.
4
stator-from-volute
0.0372259
164666.
4
stator-to-rotor
0.0372251
160570.
4
rotor-from-stator
0.0372252
160573.
4
rotor-to-pipe
0.0372118
106907.
4
pipe-from-rotor
0.0372106
106905.
4
pipe-out
0.0372106
105216.
5
volute-in
0.0340261
159996.
5
volute-to-stator
0.0340243
157964.
5
stator-from-volute
0.0340414
157956.
5
stator-to-rotor
0.0340407
154363.
5
rotor-from-stator
0.0340408
154364.
5
rotor-to-pipe
0.0340284
106761.
5
pipe-from-rotor
0.0340268
106756.
5
pipe-out
0.0340266
104838.

Total Temperature Difference

1:spiral-inflow — 4:outletPipe-outflow
Point Nr.
Flow Rate [ kg/s ]
Total Temperature Difference [ K ]
1
0.0594682
-134.957
2
0.0522924
-123.147
3
0.0446700
-108.236
4
0.0372095
-89.9291
5
0.0340261
-81.0020

Total Temperature per Interfaces

Point Nr.
Interface Name
Flow Rate [ kg/s ]
Total Temperature [ K ]
1
volute-in
0.0594682
973.647
1
volute-to-stator
0.0594681
973.655
1
stator-from-volute
0.0595002
973.655
1
stator-to-rotor
0.0594998
973.699
1
rotor-from-stator
0.0594997
973.825
1
rotor-to-pipe
0.0594995
838.936
1
pipe-from-rotor
0.0594965
838.927
1
pipe-out
0.0594967
838.689
2
volute-in
0.0522924
973.612
2
volute-to-stator
0.0522946
973.616
2
stator-from-volute
0.0523224
973.617
2
stator-to-rotor
0.0523229
973.646
2
rotor-from-stator
0.0523228
973.733
2
rotor-to-pipe
0.0523216
850.790
2
pipe-from-rotor
0.0523193
850.782
2
pipe-out
0.0523194
850.464
3
volute-in
0.0446700
973.563
3
volute-to-stator
0.0446672
973.558
3
stator-from-volute
0.0446904
973.558
3
stator-to-rotor
0.0446894
973.587
3
rotor-from-stator
0.0446893
973.636
3
rotor-to-pipe
0.0446730
865.753
3
pipe-from-rotor
0.0446713
865.745
3
pipe-out
0.0446712
865.327
4
volute-in
0.0372095
973.501
4
volute-to-stator
0.0372071
973.498
4
stator-from-volute
0.0372259
973.499
4
stator-to-rotor
0.0372251
973.520
4
rotor-from-stator
0.0372252
973.537
4
rotor-to-pipe
0.0372118
884.105
4
pipe-from-rotor
0.0372106
884.089
4
pipe-out
0.0372106
883.572
5
volute-in
0.0340261
973.469
5
volute-to-stator
0.0340243
973.462
5
stator-from-volute
0.0340414
973.462
5
stator-to-rotor
0.0340407
973.481
5
rotor-from-stator
0.0340408
973.487
5
rotor-to-pipe
0.0340284
893.019
5
pipe-from-rotor
0.0340268
893.000
5
pipe-out
0.0340266
892.467

Velocity Magnitude per Interfaces

Point Nr.
Interface Name
Flow Rate [ kg/s ]
Velocity Magnitude [ m/s ]
1
volute-in
0.0594682
93.2465
1
volute-to-stator
0.0594681
216.034
1
stator-from-volute
0.0595002
216.071
1
stator-to-rotor
0.0594998
384.061
1
rotor-from-stator
0.0594997
384.445
1
rotor-to-pipe
0.0594995
223.788
1
pipe-from-rotor
0.0594965
223.754
1
pipe-out
0.0594967
194.812
2
volute-in
0.0522924
89.9213
2
volute-to-stator
0.0522946
207.759
2
stator-from-volute
0.0523224
207.794
2
stator-to-rotor
0.0523229
362.111
2
rotor-from-stator
0.0523228
362.415
2
rotor-to-pipe
0.0523216
207.563
2
pipe-from-rotor
0.0523193
207.524
2
pipe-out
0.0523194
174.787
3
volute-in
0.0446700
85.0212
3
volute-to-stator
0.0446672
195.575
3
stator-from-volute
0.0446904
195.606
3
stator-to-rotor
0.0446894
332.603
3
rotor-from-stator
0.0446893
332.834
3
rotor-to-pipe
0.0446730
192.579
3
pipe-from-rotor
0.0446713
192.553
3
pipe-out
0.0446712
155.970
4
volute-in
0.0372095
78.3418
4
volute-to-stator
0.0372071
178.995
4
stator-from-volute
0.0372259
179.023
4
stator-to-rotor
0.0372251
296.669
4
rotor-from-stator
0.0372252
296.846
4
rotor-to-pipe
0.0372118
182.000
4
pipe-from-rotor
0.0372106
181.979
4
pipe-out
0.0372106
139.849
5
volute-in
0.0340261
74.7189
5
volute-to-stator
0.0340243
169.852
5
stator-from-volute
0.0340414
169.878
5
stator-to-rotor
0.0340407
278.836
5
rotor-from-stator
0.0340408
278.994
5
rotor-to-pipe
0.0340284
179.353
5
pipe-from-rotor
0.0340268
179.320
5
pipe-out
0.0340266
133.430

Circumferential and Meridional Angle

Point Nr.
Interface Name
Flow Rate [ kg/s ]
Circumferential Angle [ deg ]
Meridional Angle [ deg ]
1
volute-in
0.0594682
-62.0836
-90.0000
1
volute-to-stator
0.0594681
-18.9376
-103.760
1
stator-from-volute
0.0595002
-18.9562
-103.748
1
stator-to-rotor
0.0594998
-17.1024
-77.8277
1
rotor-from-stator
0.0594997
-102.230*
-77.9945*
1
rotor-to-pipe
0.0594995
128.769*
-11.0098*
1
pipe-from-rotor
0.0594965
84.5028
-11.0951
1
pipe-out
0.0594967
84.8703
0.692085
2
volute-in
0.0522924
-62.0836
-90.0000
2
volute-to-stator
0.0522946
-18.8926
-103.768
2
stator-from-volute
0.0523224
-18.9109
-103.755
2
stator-to-rotor
0.0523229
-17.0520
-77.4255
2
rotor-from-stator
0.0523228
-113.459*
-77.5948*
2
rotor-to-pipe
0.0523216
126.577*
-10.6844*
2
pipe-from-rotor
0.0523193
77.3879
-10.8283
2
pipe-out
0.0523194
77.7268
0.762476
3
volute-in
0.0446700
-62.0836
-90.0000
3
volute-to-stator
0.0446672
-18.8375
-103.765
3
stator-from-volute
0.0446904
-18.8553
-103.753
3
stator-to-rotor
0.0446894
-17.0279
-76.7433
3
rotor-from-stator
0.0446893
-127.421*
-76.9153*
3
rotor-to-pipe
0.0446730
123.800*
-10.3650*
3
pipe-from-rotor
0.0446713
68.2252
-10.4284
3
pipe-out
0.0446712
68.3111
0.817307
4
volute-in
0.0372095
-62.0837
-90.0000
4
volute-to-stator
0.0372071
-18.7960
-103.811
4
stator-from-volute
0.0372259
-18.8133
-103.799
4
stator-to-rotor
0.0372251
-17.0843
-75.5331
4
rotor-from-stator
0.0372252
-141.232*
-75.7033*
4
rotor-to-pipe
0.0372118
120.013*
-9.96653*
4
pipe-from-rotor
0.0372106
57.2211
-10.0707
4
pipe-out
0.0372106
58.8214
0.790716
5
volute-in
0.0340261
-62.0838
-90.0000
5
volute-to-stator
0.0340243
-18.8185
-103.794
5
stator-from-volute
0.0340414
-18.8355
-103.782
5
stator-to-rotor
0.0340407
-17.1441
-74.8520
5
rotor-from-stator
0.0340408
-146.732*
-75.0210*
5
rotor-to-pipe
0.0340284
118.273*
-9.83520*
5
pipe-from-rotor
0.0340268
52.0961
-9.87038
5
pipe-out
0.0340266
54.9592
0.708018
(*) Calculated from the relative velocity.

Blade to Blade View

Setup #1

Setup #2

Setup #3

Meridional Average

Setup #1

Setup #2

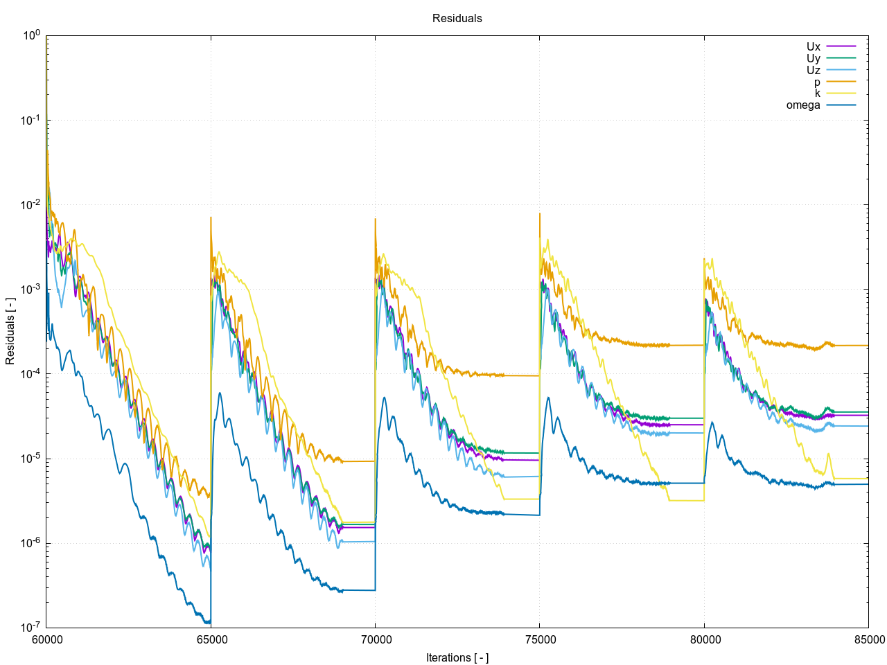
Simulation Stats

Test Case Name
eveningTest
Number of Points [ – ]
5
Machine Type
turbine
Rotation Speed [ RPM ]
150000.
Number of Components [ – ]
(topology)
4
Mesh Size [ cells ]
(details)
volute : 43257
stator : 131901
rotor : 925946
pipe : 17269
Total : 1118373
Average y+ at walls [ – ]
(details)
25.0038
Wall-clock time [ hh:mm:ss ]
02:56:03
Parallel Processors [ – ]
24
Fluid Name
air
Compressibility
compressible

Efficiency

1:spiral-inflow — 4:outletPipe-outflow
Point Nr.
Flow Rate [ kg/s ]
Efficiency [ – ]
1
0.0462806
0.665246
2
0.0394463
0.682816
3
0.0314531
0.690072
4
0.0274705
0.677445
5
0.0252632
0.661861

Torque

Point Nr.
Torque [ N.m ]
1
0.305767
2
0.228155
3
0.145403
4
0.108681
5
0.0899751

Axial Force

Point Nr.
Axial Force [ N ]
1
-33.8686
2
-35.5520
3
-37.4960
4
-38.4373
5
-38.9462

Total Pressure Difference

1:spiral-inflow — 4:outletPipe-outflow
Point Nr.
Flow Rate [ kg/s ]
Total Pressure Difference [ Pa ]
1
0.0462806
-77633.3
2
0.0394463
-62374.2
3
0.0314531
-45858.3
4
0.0274705
-38348.2
5
0.0252632
-34525.2

Total Pressure Ratio

1:spiral-inflow — 4:outletPipe-outflow
Point Nr.
Flow Rate [ kg/s ]
Total Pressure Ratio [ – ]
1
0.0462806
1.72311
2
0.0394463
1.59055
3
0.0314531
1.44036
4
0.0274705
1.36998
5
0.0252632
1.33367

Total Pressure per Interfaces

Point Nr.
Interface Name
Flow Rate [ kg/s ]
Total Pressure [ Pa ]
1
volute-in
0.0462806
184994.
1
volute-to-stator
0.0462788
181665.
1
stator-from-volute
0.0463033
181652.
1
stator-to-rotor
0.0463027
175752.
1
rotor-from-stator
0.0463027
175773.
1
rotor-to-pipe
0.0463008
108322.
1
pipe-from-rotor
0.0462996
108320.
1
pipe-out
0.0462995
107360.
2
volute-in
0.0394463
167995.
2
volute-to-stator
0.0394446
165356.
2
stator-from-volute
0.0394649
165346.
2
stator-to-rotor
0.0394643
160686.
2
rotor-from-stator
0.0394643
160694.
2
rotor-to-pipe
0.0394622
106556.
2
pipe-from-rotor
0.0394611
106555.
2
pipe-out
0.0394610
105621.
3
volute-in
0.0314531
149996.
3
volute-to-stator
0.0314543
148130.
3
stator-from-volute
0.0314701
148123.
3
stator-to-rotor
0.0314705
144785.
3
rotor-from-stator
0.0314705
144784.
3
rotor-to-pipe
0.0314477
105261.
3
pipe-from-rotor
0.0314468
105259.
3
pipe-out
0.0314468
104138.
4
volute-in
0.0274705
141997.
4
volute-to-stator
0.0274727
140521.
4
stator-from-volute
0.0274867
140515.
4
stator-to-rotor
0.0274874
137786.
4
rotor-from-stator
0.0274874
137782.
4
rotor-to-pipe
0.0274714
104992.
4
pipe-from-rotor
0.0274703
104988.
4
pipe-out
0.0274703
103649.
5
volute-in
0.0252632
137998.
5
volute-to-stator
0.0252643
136696.
5
stator-from-volute
0.0252773
136691.
5
stator-to-rotor
0.0252776
134273.
5
rotor-from-stator
0.0252777
134268.
5
rotor-to-pipe
0.0252685
104963.
5
pipe-from-rotor
0.0252674
104959.
5
pipe-out
0.0252674
103472.

Total Temperature Difference

1:spiral-inflow — 4:outletPipe-outflow
Point Nr.
Flow Rate [ kg/s ]
Total Temperature Difference [ K ]
1
0.0462806
-102.659
2
0.0394463
-89.7338
3
0.0314531
-71.5996
4
0.0274705
-60.9184
5
0.0252632
-54.6313

Total Temperature per Interfaces

Point Nr.
Interface Name
Flow Rate [ kg/s ]
Total Temperature [ K ]
1
volute-in
0.0462806
973.594
1
volute-to-stator
0.0462788
973.585
1
stator-from-volute
0.0463033
973.586
1
stator-to-rotor
0.0463027
973.610
1
rotor-from-stator
0.0463027
973.692
1
rotor-to-pipe
0.0463008
871.346
1
pipe-from-rotor
0.0462996
871.337
1
pipe-out
0.0462995
870.935
2
volute-in
0.0394463
973.540
2
volute-to-stator
0.0394446
973.531
2
stator-from-volute
0.0394649
973.532
2
stator-to-rotor
0.0394643
973.551
2
rotor-from-stator
0.0394643
973.586
2
rotor-to-pipe
0.0394622
884.238
2
pipe-from-rotor
0.0394611
884.230
2
pipe-out
0.0394610
883.806
3
volute-in
0.0314531
973.460
3
volute-to-stator
0.0314543
973.451
3
stator-from-volute
0.0314701
973.452
3
stator-to-rotor
0.0314705
973.466
3
rotor-from-stator
0.0314705
973.459
3
rotor-to-pipe
0.0314477
902.374
3
pipe-from-rotor
0.0314468
902.363
3
pipe-out
0.0314468
901.860
4
volute-in
0.0274705
973.413
4
volute-to-stator
0.0274727
973.406
4
stator-from-volute
0.0274867
973.407
4
stator-to-rotor
0.0274874
973.428
4
rotor-from-stator
0.0274874
973.411
4
rotor-to-pipe
0.0274714
913.014
4
pipe-from-rotor
0.0274703
912.998
4
pipe-out
0.0274703
912.495
5
volute-in
0.0252632
973.385
5
volute-to-stator
0.0252643
973.375
5
stator-from-volute
0.0252773
973.376
5
stator-to-rotor
0.0252776
973.389
5
rotor-from-stator
0.0252777
973.366
5
rotor-to-pipe
0.0252685
919.267
5
pipe-from-rotor
0.0252674
919.248
5
pipe-out
0.0252674
918.754

Velocity Magnitude per Interfaces

Point Nr.
Interface Name
Flow Rate [ kg/s ]
Velocity Magnitude [ m/s ]
1
volute-in
0.0462806
88.1505
1
volute-to-stator
0.0462788
203.281
1
stator-from-volute
0.0463033
203.314
1
stator-to-rotor
0.0463027
350.689
1
rotor-from-stator
0.0463027
351.015
1
rotor-to-pipe
0.0463008
192.885
1
pipe-from-rotor
0.0462996
192.859
1
pipe-out
0.0462995
162.935
2
volute-in
0.0394463
82.6327
2
volute-to-stator
0.0394446
189.398
2
stator-from-volute
0.0394649
189.429
2
stator-to-rotor
0.0394643
318.751
2
rotor-from-stator
0.0394643
318.987
2
rotor-to-pipe
0.0394622
174.108
2
pipe-from-rotor
0.0394611
174.087
2
pipe-out
0.0394610
141.482
3
volute-in
0.0314531
73.6587
3
volute-to-stator
0.0314543
166.984
3
stator-from-volute
0.0314701
167.010
3
stator-to-rotor
0.0314705
273.058
3
rotor-from-stator
0.0314705
273.216
3
rotor-to-pipe
0.0314477
157.014
3
pipe-from-rotor
0.0314468
156.995
3
pipe-out
0.0314468
120.111
4
volute-in
0.0274705
67.8834
4
volute-to-stator
0.0274727
153.409
4
stator-from-volute
0.0274867
153.433
4
stator-to-rotor
0.0274874
246.520
4
rotor-from-stator
0.0274874
246.649
4
rotor-to-pipe
0.0274714
151.834
4
pipe-from-rotor
0.0274703
151.804
4
pipe-out
0.0274703
110.605
5
volute-in
0.0252632
64.1976
5
volute-to-stator
0.0252643
144.166
5
stator-from-volute
0.0252773
144.189
5
stator-to-rotor
0.0252776
230.479
5
rotor-from-stator
0.0252777
230.591
5
rotor-to-pipe
0.0252685
150.276
5
pipe-from-rotor
0.0252674
150.242
5
pipe-out
0.0252674
105.698

Circumferential and Meridional Angle

Point Nr.
Interface Name
Flow Rate [ kg/s ]
Circumferential Angle [ deg ]
Meridional Angle [ deg ]
1
volute-in
0.0462806
-62.0836
-90.0000
1
volute-to-stator
0.0462788
-18.8787
-103.766
1
stator-from-volute
0.0463033
-18.8968
-103.754
1
stator-to-rotor
0.0463027
-16.9679
-78.2713
1
rotor-from-stator
0.0463027
-84.0981*
-78.4409*
1
rotor-to-pipe
0.0463008
126.115*
-10.9507*
1
pipe-from-rotor
0.0462996
83.4509
-11.0206
1
pipe-out
0.0462995
84.0168
0.793627
2
volute-in
0.0394463
-62.0838
-90.0000
2
volute-to-stator
0.0394446
-18.8484
-103.754
2
stator-from-volute
0.0394649
-18.8661
-103.742
2
stator-to-rotor
0.0394643
-16.9484
-77.6802
2
rotor-from-stator
0.0394643
-102.889*
-77.8545*
2
rotor-to-pipe
0.0394622
123.762*
-10.5164*
2
pipe-from-rotor
0.0394611
74.8678
-10.5965
2
pipe-out
0.0394610
75.2615
0.849848
3
volute-in
0.0314531
-62.0839
-90.0000
3
volute-to-stator
0.0314543
-18.8601
-103.792
3
stator-from-volute
0.0314701
-18.8771
-103.780
3
stator-to-rotor
0.0314705
-16.9842
-76.5063
3
rotor-from-stator
0.0314705
-129.514*
-76.6850*
3
rotor-to-pipe
0.0314477
119.795*
-10.2033*
3
pipe-from-rotor
0.0314468
61.3342
-10.1834
3
pipe-out
0.0314468
61.9218
0.887908
4
volute-in
0.0274705
-62.0839
-90.0000
4
volute-to-stator
0.0274727
-18.8194
-104.061
4
stator-from-volute
0.0274867
-18.8362
-104.050
4
stator-to-rotor
0.0274874
-17.0855
-75.3151
4
rotor-from-stator
0.0274874
-141.541*
-75.4852*
4
rotor-to-pipe
0.0274714
117.180*
-9.86840*
4
pipe-from-rotor
0.0274703
53.1807
-9.85112
4
pipe-out
0.0274703
55.4596
0.793231
5
volute-in
0.0252632
-62.0840
-90.0000
5
volute-to-stator
0.0252643
-18.8895
-104.041
5
stator-from-volute
0.0252773
-18.9061
-104.030
5
stator-to-rotor
0.0252776
-17.1628
-74.6617
5
rotor-from-stator
0.0252777
-147.394*
-74.8337*
5
rotor-to-pipe
0.0252685
115.538*
-9.62650*
5
pipe-from-rotor
0.0252674
48.5443
-9.62303
5
pipe-out
0.0252674
52.1970
0.642764
(*) Calculated from the relative velocity.

Blade to Blade View

Setup #1

Setup #2

Setup #3

Meridional Average

Setup #1

Setup #2

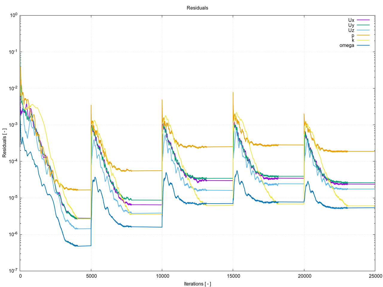
Simulation Stats

Test Case Name
eveningTest
Number of Points [ – ]
5
Machine Type
turbine
Rotation Speed [ RPM ]
120000.
Number of Components [ – ]
(topology)
4
Mesh Size [ cells ]
(details)
volute : 43257
stator : 131901
rotor : 925946
pipe : 17269
Total : 1118373
Average y+ at walls [ – ]
(details)
19.7764
Wall-clock time [ hh:mm:ss ]
03:15:38
Parallel Processors [ – ]
24
Fluid Name
air
Compressibility
compressible

Efficiency

1:spiral-inflow — 4:outletPipe-outflow
Point Nr.
Flow Rate [ kg/s ]
Efficiency [ – ]
1
0.0397853
0.624312
2
0.0313252
0.661875
3
0.0246293
0.676639
4
0.0197336
0.655602
5
0.0175645
0.627280

Torque

Point Nr.
Torque [ N.m ]
1
0.253404
2
0.161541
3
0.0986098
4
0.0600961
5
0.0455794

Axial Force

Point Nr.
Axial Force [ N ]
1
-36.0532
2
-37.8201
3
-39.1970
4
-40.1517
5
-40.5516

Total Pressure Difference

1:spiral-inflow — 4:outletPipe-outflow
Point Nr.
Flow Rate [ kg/s ]
Total Pressure Difference [ Pa ]
1
0.0397853
-58857.8
2
0.0313252
-41797.8
3
0.0246293
-29888.4
4
0.0197336
-22366.0
5
0.0175645
-19452.2

Total Pressure Ratio

1:spiral-inflow — 4:outletPipe-outflow
Point Nr.
Flow Rate [ kg/s ]
Total Pressure Ratio [ – ]
1
0.0397853
1.55455
2
0.0313252
1.40114
3
0.0246293
1.28987
4
0.0197336
1.21792
5
0.0175645
1.18969

Total Pressure per Interfaces

Point Nr.
Interface Name
Flow Rate [ kg/s ]
Total Pressure [ Pa ]
1
volute-in
0.0397853
164995.
1
volute-to-stator
0.0397855
162244.
1
stator-from-volute
0.0398061
162233.
1
stator-to-rotor
0.0398061
157314.
1
rotor-from-stator
0.0398064
157330.
1
rotor-to-pipe
0.0398057
107002.
1
pipe-from-rotor
0.0398058
106999.
1
pipe-out
0.0398057
106137.
2
volute-in
0.0313252
145996.
2
volute-to-stator
0.0313240
144086.
2
stator-from-volute
0.0313399
144078.
2
stator-to-rotor
0.0313396
140635.
2
rotor-from-stator
0.0313396
140636.
2
rotor-to-pipe
0.0313384
104838.
2
pipe-from-rotor
0.0313382
104837.
2
pipe-out
0.0313382
104199.
3
volute-in
0.0246293
132998.
3
volute-to-stator
0.0246282
131702.
3
stator-from-volute
0.0246410
131696.
3
stator-to-rotor
0.0246406
129283.
3
rotor-from-stator
0.0246406
129277.
3
rotor-to-pipe
0.0246344
103835.
3
pipe-from-rotor
0.0246336
103833.
3
pipe-out
0.0246335
103109.
4
volute-in
0.0197336
124998.
4
volute-to-stator
0.0197327
124062.
4
stator-from-volute
0.0197432
124058.
4
stator-to-rotor
0.0197429
122298.
4
rotor-from-stator
0.0197429
122290.
4
rotor-to-pipe
0.0197287
103582.
4
pipe-from-rotor
0.0197280
103579.
4
pipe-out
0.0197280
102632.
5
volute-in
0.0175645
121999.
5
volute-to-stator
0.0175644
121212.
5
stator-from-volute
0.0175739
121209.
5
stator-to-rotor
0.0175738
119716.
5
rotor-from-stator
0.0175739
119708.
5
rotor-to-pipe
0.0175744
103616.
5
pipe-from-rotor
0.0175739
103612.
5
pipe-out
0.0175740
102546.

Total Temperature Difference

1:spiral-inflow — 4:outletPipe-outflow
Point Nr.
Flow Rate [ kg/s ]
Total Temperature Difference [ K ]
1
0.0397853
-79.3159
2
0.0313252
-64.0735
3
0.0246293
-49.4997
4
0.0197336
-37.3180
5
0.0175645
-31.6051

Total Temperature per Interfaces

Point Nr.
Interface Name
Flow Rate [ kg/s ]
Total Temperature [ K ]
1
volute-in
0.0397853
973.562
1
volute-to-stator
0.0397855
973.551
1
stator-from-volute
0.0398061
973.551
1
stator-to-rotor
0.0398061
973.575
1
rotor-from-stator
0.0398064
973.635
1
rotor-to-pipe
0.0398057
894.616
1
pipe-from-rotor
0.0398058
894.611
1
pipe-out
0.0398057
894.246
2
volute-in
0.0313252
973.475
2
volute-to-stator
0.0313240
973.465
2
stator-from-volute
0.0313399
973.466
2
stator-to-rotor
0.0313396
973.480
2
rotor-from-stator
0.0313396
973.478
2
rotor-to-pipe
0.0313384
909.784
2
pipe-from-rotor
0.0313382
909.779
2
pipe-out
0.0313382
909.401
3
volute-in
0.0246293
973.391
3
volute-to-stator
0.0246282
973.381
3
stator-from-volute
0.0246410
973.381
3
stator-to-rotor
0.0246406
973.396
3
rotor-from-stator
0.0246406
973.367
3
rotor-to-pipe
0.0246344
924.275
3
pipe-from-rotor
0.0246336
924.267
3
pipe-out
0.0246335
923.891
4
volute-in
0.0197336
973.325
4
volute-to-stator
0.0197327
973.317
4
stator-from-volute
0.0197432
973.317
4
stator-to-rotor
0.0197429
973.328
4
rotor-from-stator
0.0197429
973.288
4
rotor-to-pipe
0.0197287
936.398
4
pipe-from-rotor
0.0197280
936.384
4
pipe-out
0.0197280
936.007
5
volute-in
0.0175645
973.295
5
volute-to-stator
0.0175644
973.289
5
stator-from-volute
0.0175739
973.289
5
stator-to-rotor
0.0175738
973.298
5
rotor-from-stator
0.0175739
973.256
5
rotor-to-pipe
0.0175744
942.078
5
pipe-from-rotor
0.0175739
942.060
5
pipe-out
0.0175740
941.690

Velocity Magnitude per Interfaces

Point Nr.
Interface Name
Flow Rate [ kg/s ]
Velocity Magnitude [ m/s ]
1
volute-in
0.0397853
84.9014
1
volute-to-stator
0.0397855
194.966
1
stator-from-volute
0.0398061
194.998
1
stator-to-rotor
0.0398061
330.959
1
rotor-from-stator
0.0398064
331.282
1
rotor-to-pipe
0.0398057
174.103
1
pipe-from-rotor
0.0398058
174.072
1
pipe-out
0.0398057
147.496
2
volute-in
0.0313252
75.3952
2
volute-to-stator
0.0313240
171.059
2
stator-from-volute
0.0313399
171.086
2
stator-to-rotor
0.0313396
280.892
2
rotor-from-stator
0.0313396
281.088
2
rotor-to-pipe
0.0313384
145.662
2
pipe-from-rotor
0.0313382
145.646
2
pipe-out
0.0313382
117.317
3
volute-in
0.0246293
64.9485
3
volute-to-stator
0.0246282
145.666
3
stator-from-volute
0.0246410
145.689
3
stator-to-rotor
0.0246406
232.955
3
rotor-from-stator
0.0246406
233.078
3
rotor-to-pipe
0.0246344
128.372
3
pipe-from-rotor
0.0246336
128.359
3
pipe-out
0.0246335
96.8620
4
volute-in
0.0197336
55.2861
4
volute-to-stator
0.0197327
121.630
4
stator-from-volute
0.0197432
121.651
4
stator-to-rotor
0.0197429
193.000
4
rotor-from-stator
0.0197429
193.083
4
rotor-to-pipe
0.0197287
121.704
4
pipe-from-rotor
0.0197280
121.669
4
pipe-out
0.0197280
83.9388
5
volute-in
0.0175645
50.3862
5
volute-to-stator
0.0175644
109.651
5
stator-from-volute
0.0175739
109.671
5
stator-to-rotor
0.0175738
173.911
5
rotor-from-stator
0.0175739
173.978
5
rotor-to-pipe
0.0175744
120.897
5
pipe-from-rotor
0.0175739
120.855
5
pipe-out
0.0175740
79.3468

Circumferential and Meridional Angle

Point Nr.
Interface Name
Flow Rate [ kg/s ]
Circumferential Angle [ deg ]
Meridional Angle [ deg ]
1
volute-in
0.0397853
-62.0838
-90.0000
1
volute-to-stator
0.0397855
-18.8751
-103.750
1
stator-from-volute
0.0398061
-18.8930
-103.737
1
stator-to-rotor
0.0398061
-16.8693
-79.1061
1
rotor-from-stator
0.0398064
-58.7852*
-79.2713*
1
rotor-to-pipe
0.0398057
126.194*
-11.5732*
1
pipe-from-rotor
0.0398058
88.5783
-11.4907
1
pipe-out
0.0398057
89.0173
0.793034
2
volute-in
0.0313252
-62.0839
-90.0000
2
volute-to-stator
0.0313240
-18.8845
-103.791
2
stator-from-volute
0.0313399
-18.9017
-103.779
2
stator-to-rotor
0.0313396
-16.8752
-78.2387
2
rotor-from-stator
0.0313396
-83.6180*
-78.4125*
2
rotor-to-pipe
0.0313384
123.128*
-10.9227*
2
pipe-from-rotor
0.0313382
76.8429
-10.9702
2
pipe-out
0.0313382
77.3702
0.887007
3
volute-in
0.0246293
-62.0840
-90.0000
3
volute-to-stator
0.0246282
-18.9354
-104.037
3
stator-from-volute
0.0246410
-18.9521
-104.025
3
stator-to-rotor
0.0246406
-16.9538
-76.9588
3
rotor-from-stator
0.0246406
-119.500*
-77.1376*
3
rotor-to-pipe
0.0246344
119.414*
-10.3933*
3
pipe-from-rotor
0.0246336
62.9170
-10.4557
3
pipe-out
0.0246335
63.0882
0.943436
4
volute-in
0.0197336
-62.0841
-90.0000
4
volute-to-stator
0.0197327
-19.2273
-103.967
4
stator-from-volute
0.0197432
-19.2436
-103.957
4
stator-to-rotor
0.0197429
-17.1537
-75.2084
4
rotor-from-stator
0.0197429
-143.476*
-75.3966*
4
rotor-to-pipe
0.0197287
114.804*
-9.73409*
4
pipe-from-rotor
0.0197280
49.7494
-9.80930
4
pipe-out
0.0197280
52.7730
0.749505
5
volute-in
0.0175645
-62.0841
-90.0000
5
volute-to-stator
0.0175644
-19.4306
-103.933
5
stator-from-volute
0.0175739
-19.4467
-103.923
5
stator-to-rotor
0.0175738
-17.3305
-74.0444
5
rotor-from-stator
0.0175739
-151.397*
-74.2356*
5
rotor-to-pipe
0.0175744
112.051*
-8.97260*
5
pipe-from-rotor
0.0175739
43.9661
-8.95392
5
pipe-out
0.0175740
48.8804
0.373407
(*) Calculated from the relative velocity.

Blade to Blade View

Setup #1

Setup #2

Setup #3

Meridional Average

Setup #1

Setup #2