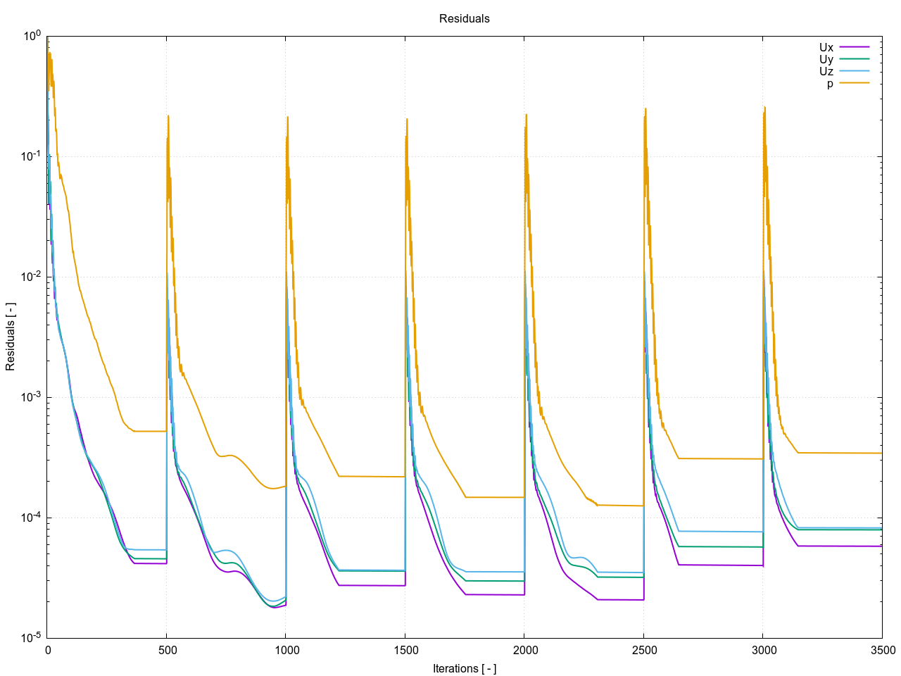
Simulation Stats

Test Case Name
tcfdcase0
Number of Points [ – ]
7
Machine Type
pump
Rotation Speed [ RPM ]
-1770.00
Number of Components [ – ]
(topology)
3
Mesh Size [ cells ]
(details)
pipe : 65845
impeller : 514148
volute : 69443
Total : 649436
Average y+ at walls [ – ]
(details)
925.363
Wall-clock time [ hh:mm:ss ]
00:38:06
Parallel Processors [ – ]
6
Fluid Name
water
Compressibility
incompressible

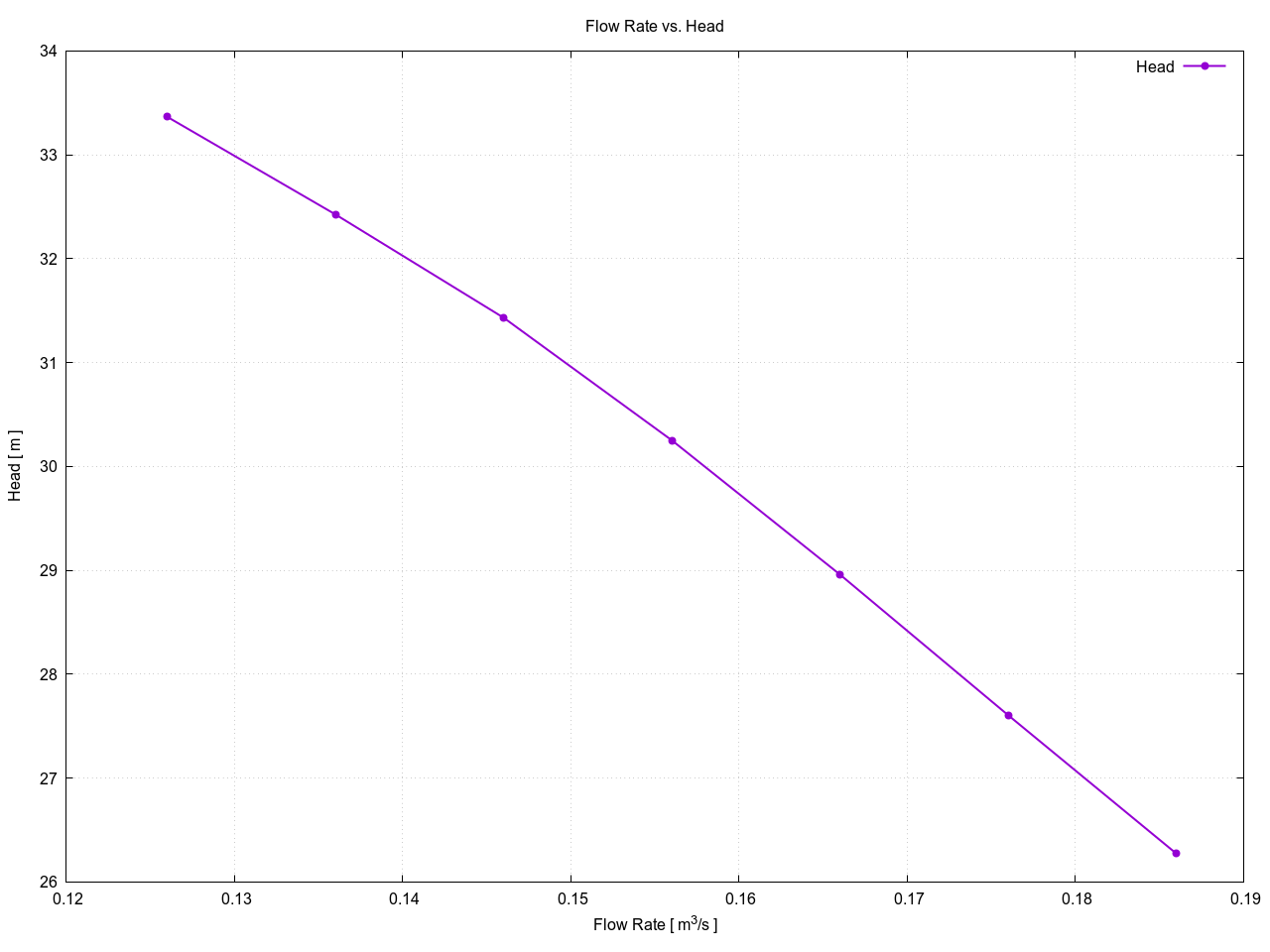
Head

1:inletPipe-inlet — 3:volute-outlet
Point Nr.
Flow Rate [ m3/s ]
Head [ m ]
1
0.186000
26.2727
2
0.176000
27.6047
3
0.166000
28.9587
4
0.156000
30.2512
5
0.146000
31.4314
6
0.136000
32.4256
7
0.126000
33.3651

Efficiency

1:inletPipe-inlet — 3:volute-outlet
Point Nr.
Flow Rate [ m3/s ]
Efficiency [ – ]
1
0.186000
0.887833
2
0.176000
0.886539
3
0.166000
0.886480
4
0.156000
0.886342
5
0.146000
0.883206
6
0.136000
0.873660
7
0.126000
0.863719

Torque

Point Nr.
Torque [ N.m ]
1
290.914
2
289.654
3
286.616
4
281.416
5
274.624
6
266.791
7
257.264

Axial Force

Point Nr.
Torque [ N ]
1
5750.16
2
6235.87
3
6691.82
4
7118.88
5
7504.70
6
7833.88
7
8145.58

Total Pressure Difference

1:inletPipe-inlet — 3:volute-outlet
Point Nr.
Flow Rate [ m3/s ]
Total Pressure Difference [ Pa ]
1
0.186000
257271.
2
0.176000
270315.
3
0.166000
283574.
4
0.156000
296230.
5
0.146000
307787.
6
0.136000
317523.
7
0.126000
326723.

Total Pressure per Interfaces

Point Nr.
Interface Name
Flow Rate [ m3/s ]
Total Pressure [ Pa ]
1
pipe-in
0.186000
175530.
1
pipe-to-impeller
0.186000
175137.
1
impeller-from-pipe
0.186167
175135.
1
impeller-to-volute
0.186167
451027.
1
volute-from-impeller
0.186167
448610.
1
volute-out
0.186167
432801.
2
pipe-in
0.176000
156854.
2
pipe-to-impeller
0.176000
156480.
2
impeller-from-pipe
0.176160
156478.
2
impeller-to-volute
0.176160
445538.
2
volute-from-impeller
0.176160
443319.
2
volute-out
0.176160
427169.
3
pipe-in
0.166000
139894.
3
pipe-to-impeller
0.166000
139557.
3
impeller-from-pipe
0.166151
139556.
3
impeller-to-volute
0.166151
442570.
3
volute-from-impeller
0.166151
440416.
3
volute-out
0.166151
423468.
4
pipe-in
0.156000
123876.
4
pipe-to-impeller
0.156000
123577.
4
impeller-from-pipe
0.156143
123576.
4
impeller-to-volute
0.156143
440213.
4
volute-from-impeller
0.156143
438189.
4
volute-out
0.156143
420105.
5
pipe-in
0.146000
109475.
5
pipe-to-impeller
0.146000
109211.
5
impeller-from-pipe
0.146135
109211.
5
impeller-to-volute
0.146135
439321.
5
volute-from-impeller
0.146134
437437.
5
volute-out
0.146134
417262.
6
pipe-in
0.136000
97475.5
6
pipe-to-impeller
0.136000
97267.2
6
impeller-from-pipe
0.136127
97266.9
6
impeller-to-volute
0.136127
440243.
6
volute-from-impeller
0.136126
438424.
6
volute-out
0.136126
414998.
7
pipe-in
0.126000
86127.9
7
pipe-to-impeller
0.126000
85945.8
7
impeller-from-pipe
0.126118
85945.8
7
impeller-to-volute
0.126118
441900.
7
volute-from-impeller
0.126118
440200.
7
volute-out
0.126118
412851.

Velocity Magnitude per Interfaces

Point Nr.
Interface Name
Flow Rate [ m3/s ]
Velocity Magnitude [ m/s ]
1
pipe-in
0.186000
6.71332
1
pipe-to-impeller
0.186000
6.80191
1
impeller-from-pipe
0.186167
6.80232
1
impeller-to-volute
0.186167
11.8995
1
volute-from-impeller
0.186167
11.7184
1
volute-out
0.186167
7.88506
2
pipe-in
0.176000
6.35239
2
pipe-to-impeller
0.176000
6.44277
2
impeller-from-pipe
0.176160
6.44327
2
impeller-to-volute
0.176160
12.2560
2
volute-from-impeller
0.176160
12.0891
2
volute-out
0.176160
7.24697
3
pipe-in
0.166000
5.99146
3
pipe-to-impeller
0.166000
6.08612
3
impeller-from-pipe
0.166151
6.08666
3
impeller-to-volute
0.166151
12.6339
3
volute-from-impeller
0.166151
12.4795
3
volute-out
0.166151
6.77062
4
pipe-in
0.156000
5.63052
4
pipe-to-impeller
0.156000
5.73135
4
impeller-from-pipe
0.156143
5.73196
4
impeller-to-volute
0.156143
13.0118
4
volute-from-impeller
0.156143
12.8688
4
volute-out
0.156143
6.29681
5
pipe-in
0.146000
5.26959
5
pipe-to-impeller
0.146000
5.37894
5
impeller-from-pipe
0.146135
5.37962
5
impeller-to-volute
0.146135
13.3971
5
volute-from-impeller
0.146134
13.2655
5
volute-out
0.146134
5.85039
6
pipe-in
0.136000
4.90866
6
pipe-to-impeller
0.136000
5.03016
6
impeller-from-pipe
0.136127
5.03095
6
impeller-to-volute
0.136127
13.7386
6
volute-from-impeller
0.136126
13.6182
6
volute-out
0.136126
5.45087
7
pipe-in
0.126000
4.54773
7
pipe-to-impeller
0.126000
4.68385
7
impeller-from-pipe
0.126118
4.68476
7
impeller-to-volute
0.126118
14.1467
7
volute-from-impeller
0.126118
14.0357
7
volute-out
0.126118
5.04734

Circumferential and Meridional Angle

Point Nr.
Interface Name
Flow Rate [ m3/s ]
Circumferential Angle [ deg ]
Meridional Angle [ deg ]
1
pipe-in
0.186000
90.0000
0
1
pipe-to-impeller
0.186000
90.0321
4.30552
1
impeller-from-pipe
0.186167
147.973*
4.30329*
1
impeller-to-volute
0.186167
162.593*
74.2059*
1
volute-from-impeller
0.186167
154.686
74.1274
1
volute-out
0.186167
128.796
89.8891
2
pipe-in
0.176000
90.0000
0
2
pipe-to-impeller
0.176000
90.0419
4.35762
2
impeller-from-pipe
0.176160
149.292*
4.35528*
2
impeller-to-volute
0.176160
162.904*
74.5836*
2
volute-from-impeller
0.176160
156.891
74.5020
2
volute-out
0.176160
128.617
89.6674
3
pipe-in
0.166000
90.0000
0
3
pipe-to-impeller
0.166000
90.0528
4.44301
3
impeller-from-pipe
0.166151
150.655*
4.44064*
3
impeller-to-volute
0.166151
163.235*
74.4570*
3
volute-from-impeller
0.166151
158.979
74.3830
3
volute-out
0.166151
128.361
89.7894
4
pipe-in
0.156000
90.0000
0
4
pipe-to-impeller
0.156000
90.0686
4.52570
4
impeller-from-pipe
0.156143
152.056*
4.52329*
4
impeller-to-volute
0.156143
163.601*
74.7096*
4
volute-from-impeller
0.156143
160.895
74.6121
4
volute-out
0.156143
128.314
89.8587
5
pipe-in
0.146000
90.0000
0
5
pipe-to-impeller
0.146000
90.0915
4.60951
5
impeller-from-pipe
0.146135
153.494*
4.60708*
5
impeller-to-volute
0.146135
163.998*
75.2855*
5
volute-from-impeller
0.146134
162.678
75.1543
5
volute-out
0.146134
128.388
89.8718
6
pipe-in
0.136000
90.0000
0
6
pipe-to-impeller
0.136000
90.1239
4.70099
6
impeller-from-pipe
0.136127
154.985*
4.69853*
6
impeller-to-volute
0.136127
164.467*
75.7881*
6
volute-from-impeller
0.136126
164.291
75.6653
6
volute-out
0.136126
128.279
89.9145
7
pipe-in
0.126000
90.0000
0
7
pipe-to-impeller
0.126000
90.1725
4.76922
7
impeller-from-pipe
0.126118
156.489*
4.76678*
7
impeller-to-volute
0.126118
164.919*
76.3897*
7
volute-from-impeller
0.126118
165.871
76.2161
7
volute-out
0.126118
128.211
89.9119
(*) Calculated from the relative velocity.

Cavitation Risk

Point Nr.
Flow Rate [ m3/s ]
Cavitating Volume [ m3 ]
Cavitating Volume [ % ]
1
0.186000
1.15898 × 10-10
3.91953 × 10-7
2
0.176000
0
0
3
0.166000
0
0
4
0.156000
5.54853 × 10-9
1.87645 × 10-5
5
0.146000
2.46263 × 10-7
8.32832 × 10-4
6
0.136000
1.06434 × 10-6
0.00359946
7
0.126000
2.37543 × 10-6
0.00803341

Cavitation Index

Point Nr.
Flow Rate [ m3/s ]
Cavitating Volume [ – ]
1
0.186000
3.39330
2
0.176000
3.39775
3
0.166000
3.39736
4
0.156000
3.40917
5
0.146000
3.45042
6
0.136000
3.54316
7
0.126000
3.66873

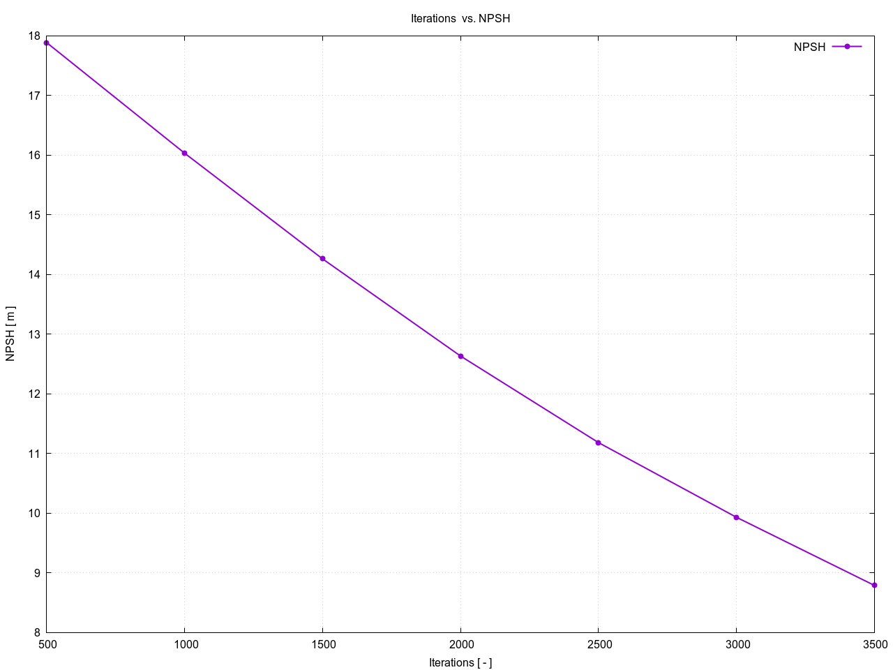
Net Positive Suction Head

Point Nr.
Flow Rate [ m3/s ]
NPSH [ m ]
1
0.186000
17.8864
2
0.176000
16.0331
3
0.166000
14.2615
4
0.156000
12.6332
5
0.146000
11.1822
6
0.136000
9.93068
7
0.126000
8.78870

Blade to Blade View

Setup #1

Setup #2

Setup #3

Meridional Average

Setup #1