Simulation Stats

Test Case Name
eveningTest
Number of Points [ – ]
8
Machine Type
fan
Rotation Speed [ RPM ]
-2980.00
Number of Components [ – ]
(topology)
2
Mesh Size [ cells ]
(details)
wheel : 141754
spiral : 102272
Total : 244026
Average y+ at walls [ – ]
(details)
815.417
Wall-clock time [ hh:mm:ss ]
00:58:43
Parallel Processors [ – ]
6
Fluid Name
air
Compressibility
compressible

Fan Characteristic

1:impeller-inlet — 2:spiral-outlet
Point Nr.
Flow number [ – ]
Compression number [ – ]
1
0.0519725
1.17816
2
0.0483471
1.23228
3
0.0451234
1.27034
4
0.0399658
1.31765
5
0.0360078
1.34035
6
0.0329233
1.35211
7
0.0303791
1.35542
8
0.0282892
1.35545

Efficiency

1:impeller-inlet — 2:spiral-outlet
Point Nr.
Flow Rate [ kg/s ]
Efficiency [ – ]
1
13.9557
0.814545
2
13.0486
0.833951
3
12.2298
0.844480
4
10.8984
0.852424
5
9.86022
0.847176
6
9.04222
0.838845
7
8.36214
0.824573
8
7.80012
0.811868

Torque

Point Nr.
Torque [ N.m ]
1
1139.76
2
1090.11
3
1041.71
4
956.528
5
887.994
6
831.297
7
785.465
8
745.299

Axial Force

Point Nr.
Axial Force [ N ]
1
-333.012
2
-333.020
3
-332.990
4
-332.946
5
-334.152
6
-334.195
7
-334.621
8
-334.819

Total Pressure Difference

1:impeller-inlet — 2:spiral-outlet
Point Nr.
Flow Rate [ kg/s ]
Total Pressure Difference [ Pa ]
1
13.9557
24729.8
2
13.0486
25998.2
3
12.2298
26914.0
4
10.8984
28087.4
5
9.86022
28691.1
6
9.04222
29028.5
7
8.36214
29164.4
8
7.80012
29214.9

Total Pressure Ratio

1:impeller-inlet — 2:spiral-outlet
Point Nr.
Flow Rate [ kg/s ]
Total Pressure Ratio [ – ]
1
13.9557
1.24753
2
13.0486
1.26016
3
12.2298
1.26928
4
10.8984
1.28096
5
9.86022
1.28697
6
9.04222
1.29033
7
8.36214
1.29167
8
7.80012
1.29217

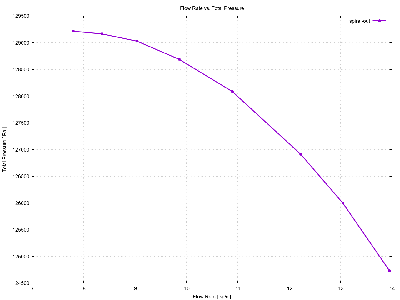
Total Pressure per Interfaces

Point Nr.
Interface Name
Flow Rate [ kg/s ]
Total Pressure [ Pa ]
1
wheel-in
13.9557
100004.
1
wheel-to-spiral
13.9557
128508.
1
spiral-from-wheel
13.9557
128285.
1
spiral-out
13.9557
124735.
2
wheel-in
13.0486
100003.
2
wheel-to-spiral
13.0486
129342.
2
spiral-from-wheel
13.0486
129131.
2
spiral-out
13.0486
125999.
3
wheel-in
12.2298
100003.
3
wheel-to-spiral
12.2298
130042.
3
spiral-from-wheel
12.2298
129844.
3
spiral-out
12.2298
126914.
4
wheel-in
10.8984
100002.
4
wheel-to-spiral
10.8984
131093.
4
spiral-from-wheel
10.8984
130906.
4
spiral-out
10.8984
128087.
5
wheel-in
9.86022
100002.
5
wheel-to-spiral
9.86022
131920.
5
spiral-from-wheel
9.86022
131700.
5
spiral-out
9.86022
128691.
6
wheel-in
9.04222
100002.
6
wheel-to-spiral
9.04222
132574.
6
spiral-from-wheel
9.04223
132389.
6
spiral-out
9.04223
129029.
7
wheel-in
8.36214
100001.
7
wheel-to-spiral
8.36213
132926.
7
spiral-from-wheel
8.36214
132948.
7
spiral-out
8.36214
129165.
8
wheel-in
7.80012
100001.
8
wheel-to-spiral
7.80014
133298.
8
spiral-from-wheel
7.80010
133361.
8
spiral-out
7.80010
129216.

Total Temperature Difference

1:impeller-inlet — 2:spiral-outlet
Point Nr.
Flow Rate [ kg/s ]
Total Temperature Difference [ K ]
1
13.9557
25.4485
2
13.0486
26.0593
3
12.2298
26.5627
4
10.8984
27.3383
5
9.86022
28.0511
6
9.04222
28.6832
7
8.36214
29.6670
8
7.80012
30.4200

Total Temperature per Interfaces

Point Nr.
Interface Name
Flow Rate [ kg/s ]
Total Temperature [ K ]
1
wheel-in
13.9557
313.164
1
wheel-to-spiral
13.9557
338.723
1
spiral-from-wheel
13.9557
338.640
1
spiral-out
13.9557
338.612
2
wheel-in
13.0486
313.162
2
wheel-to-spiral
13.0486
339.298
2
spiral-from-wheel
13.0486
339.223
2
spiral-out
13.0486
339.221
3
wheel-in
12.2298
313.160
3
wheel-to-spiral
12.2298
339.799
3
spiral-from-wheel
12.2298
339.732
3
spiral-out
12.2298
339.723
4
wheel-in
10.8984
313.158
4
wheel-to-spiral
10.8984
340.589
4
spiral-from-wheel
10.8984
340.524
4
spiral-out
10.8984
340.496
5
wheel-in
9.86022
313.157
5
wheel-to-spiral
9.86022
341.291
5
spiral-from-wheel
9.86022
341.239
5
spiral-out
9.86022
341.208
6
wheel-in
9.04222
313.156
6
wheel-to-spiral
9.04222
341.862
6
spiral-from-wheel
9.04223
341.872
6
spiral-out
9.04223
341.839
7
wheel-in
8.36214
313.155
7
wheel-to-spiral
8.36213
342.467
7
spiral-from-wheel
8.36214
342.880
7
spiral-out
8.36214
342.822
8
wheel-in
7.80012
313.154
8
wheel-to-spiral
7.80014
343.003
8
spiral-from-wheel
7.80010
343.604
8
spiral-out
7.80010
343.574

Velocity Magnitude per Interfaces

Point Nr.
Interface Name
Flow Rate [ kg/s ]
Velocity Magnitude [ m/s ]
1
wheel-in
13.9557
96.8075
1
wheel-to-spiral
13.9557
131.199
1
spiral-from-wheel
13.9557
130.033
1
spiral-out
13.9557
96.3250
2
wheel-in
13.0486
90.0569
2
wheel-to-spiral
13.0486
133.055
2
spiral-from-wheel
13.0486
131.950
2
spiral-out
13.0486
88.1962
3
wheel-in
12.2298
84.0531
3
wheel-to-spiral
12.2298
134.644
3
spiral-from-wheel
12.2298
133.620
3
spiral-out
12.2298
81.6838
4
wheel-in
10.8984
74.4448
4
wheel-to-spiral
10.8984
137.044
4
spiral-from-wheel
10.8984
136.111
4
spiral-out
10.8984
71.9132
5
wheel-in
9.86022
67.0675
5
wheel-to-spiral
9.86022
139.535
5
spiral-from-wheel
9.86022
138.500
5
spiral-out
9.86022
64.9070
6
wheel-in
9.04222
61.3190
6
wheel-to-spiral
9.04222
141.480
6
spiral-from-wheel
9.04223
140.724
6
spiral-out
9.04223
59.6169
7
wheel-in
8.36214
56.5776
7
wheel-to-spiral
8.36213
141.842
7
spiral-from-wheel
8.36214
142.819
7
spiral-out
8.36214
55.4051
8
wheel-in
7.80012
52.6825
8
wheel-to-spiral
7.80014
142.939
8
spiral-from-wheel
7.80010
144.209
8
spiral-out
7.80010
51.9890

Circumferential and Meridional Angle

Point Nr.
Interface Name
Flow Rate [ kg/s ]
Circumferential Angle [ deg ]
Meridional Angle [ deg ]
1
wheel-in
13.9557
115.378*
0*
1
wheel-to-spiral
13.9557
153.901*
92.6058*
1
spiral-from-wheel
13.9557
163.494
93.2904
1
spiral-out
13.9557
136.906
88.2363
2
wheel-in
13.0486
116.991*
0*
2
wheel-to-spiral
13.0486
154.593*
91.8967*
2
spiral-from-wheel
13.0486
164.797
92.6026
2
spiral-out
13.0486
134.989
87.1348
3
wheel-in
12.2298
118.591*
0*
3
wheel-to-spiral
12.2298
155.331*
91.2294*
3
spiral-from-wheel
12.2298
165.953
91.8736
3
spiral-out
12.2298
134.211
87.8301
4
wheel-in
10.8984
121.538*
0*
4
wheel-to-spiral
10.8984
156.943*
89.1470*
4
spiral-from-wheel
10.8984
168.042
89.4813
4
spiral-out
10.8984
133.757
89.3915
5
wheel-in
9.86022
124.190*
0*
5
wheel-to-spiral
9.86022
157.877*
88.0209*
5
spiral-from-wheel
9.86022
169.697
87.9906
5
spiral-out
9.86022
134.262
90.8665
6
wheel-in
9.04222
126.542*
0*
6
wheel-to-spiral
9.04222
158.471*
87.5698*
6
spiral-from-wheel
9.04223
170.713
87.3691
6
spiral-out
9.04223
134.978
92.1967
7
wheel-in
8.36214
128.699*
0*
7
wheel-to-spiral
8.36213
158.051*
85.6950*
7
spiral-from-wheel
8.36214
171.477
85.6226
7
spiral-out
8.36214
135.500
93.1738
8
wheel-in
7.80012
130.637*
0*
8
wheel-to-spiral
7.80014
158.184*
82.4054*
8
spiral-from-wheel
7.80010
171.934
81.0018
8
spiral-out
7.80010
136.238
93.6368
(*) Calculated from the relative velocity.

Blade to Blade View

Setup #1

Setup #2

Meridional Average

Setup #1