Simulation Stats

Test Case Name
eveningTest
Number of Points [ – ]
6
Machine Type
compressor
Rotation Speed [ rad/s ]
16755.2
Number of Components [ – ]
(topology)
4
Mesh Size [ cells ]
(details)
impeller : 557786
diffuser1 : 36895
diffuser2 : 106990
volute : 22230
Total : 723901
Average y+ at walls [ – ]
(details)
197.137
Wall-clock time [ hh:mm:ss ]
05:25:30
Parallel Processors [ – ]
6
Fluid Name
air
Compressibility
compressible

Efficiency

1:rotor-inflow — 4:volute-outflow
Point Nr.
Flow Rate [ kg/s ]
Efficiency [ – ]
1
0.213213
0.666693
2
0.196501
0.762003
3
0.182099
0.779118
4
0.168808
0.779229
5
0.159103
0.773444
6
0.150124
0.763536

Torque

Point Nr.
Torque [ N.m ]
1
1.42828
2
1.50148
3
1.48001
4
1.43845
5
1.39954
6
1.35748

Axial Force

Point Nr.
Axial Force [ N ]
1
-18.7651
2
-21.0742
3
-20.0772
4
-18.3201
5
-16.6811
6
-14.9046

Total Pressure Difference

1:rotor-inflow — 4:volute-outflow
Point Nr.
Flow Rate [ kg/s ]
Total Pressure Difference [ Pa ]
1
0.213213
113676.
2
0.196501
160668.
3
0.182099
180055.
4
0.168808
192381.
5
0.159103
198879.
6
0.150124
203001.

Total Pressure Ratio

1:rotor-inflow — 4:volute-outflow
Point Nr.
Flow Rate [ kg/s ]
Total Pressure Ratio [ – ]
1
0.213213
2.12171
2
0.196501
2.58537
3
0.182099
2.77644
4
0.168808
2.89745
5
0.159103
2.96071
6
0.150124
3.00021

Total Pressure per Interfaces

Point Nr.
Interface Name
Flow Rate [ kg/s ]
Total Pressure [ Pa ]
1
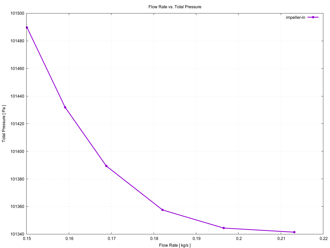
impeller-in
0.213213
101341.
1
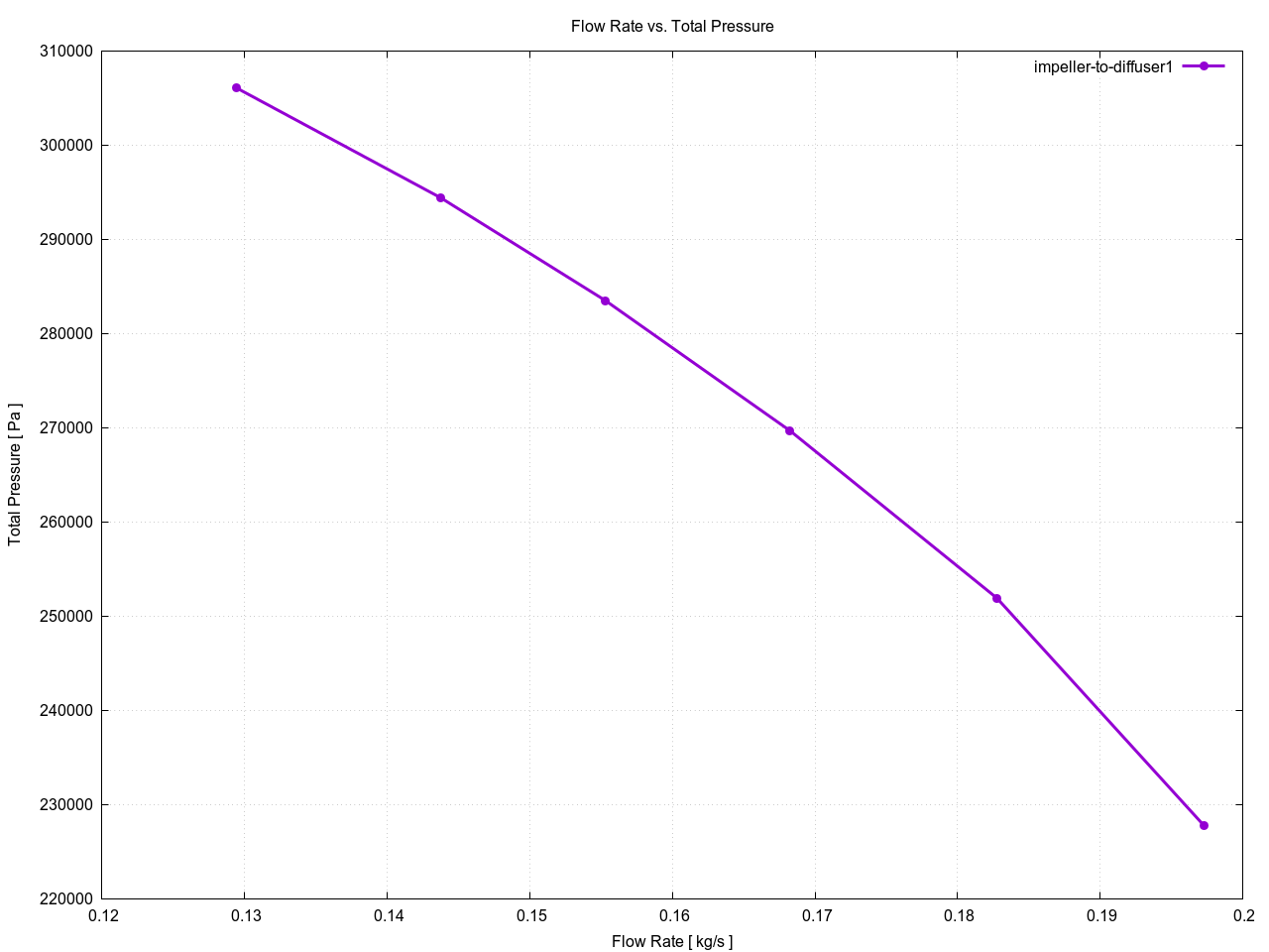
impeller-to-diffuser1
0.213213
247067.
1
diffuser1-from-impeller
0.213212
236463.
1
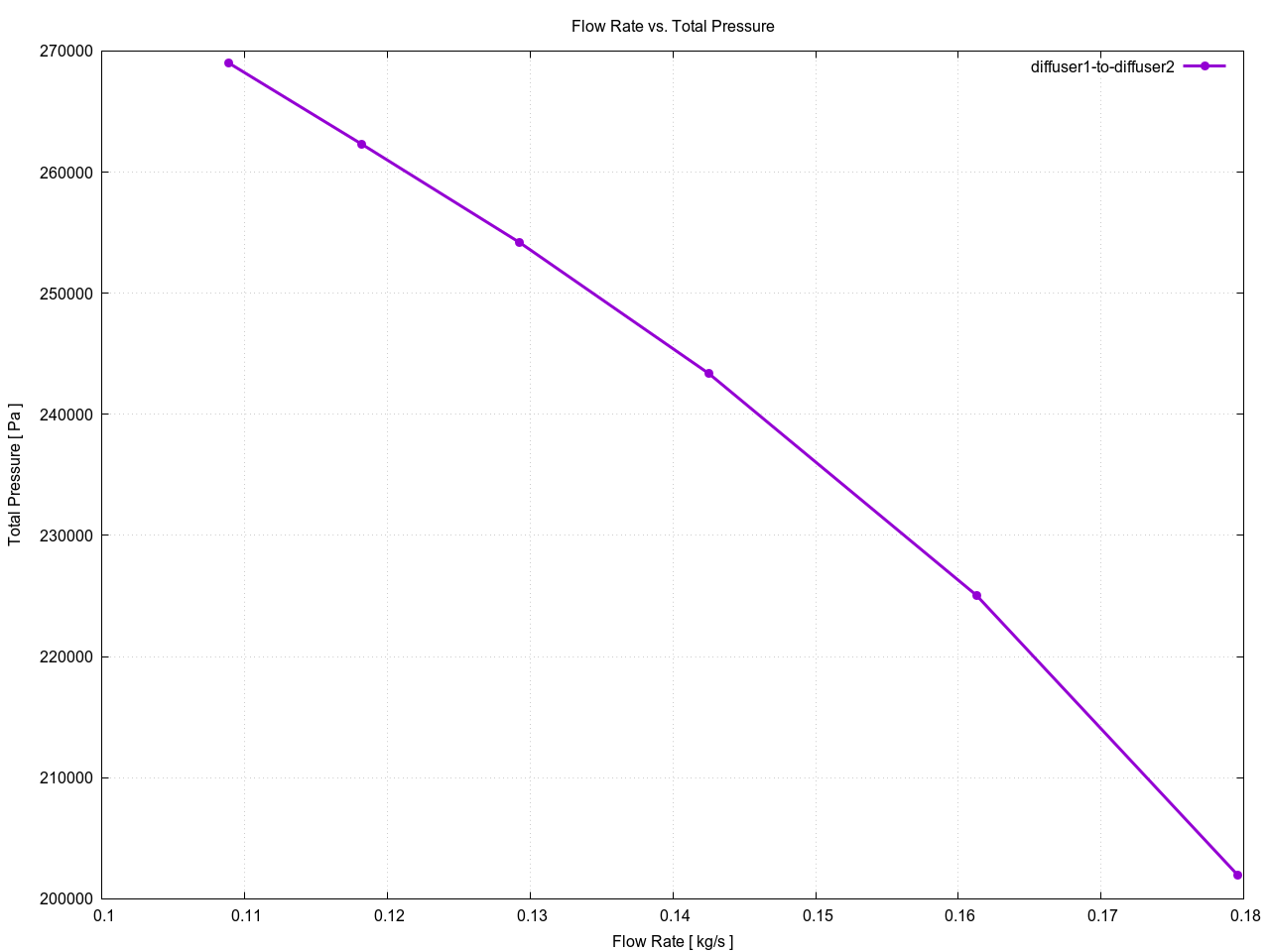
diffuser1-to-diffuser2
0.213212
234935.
1
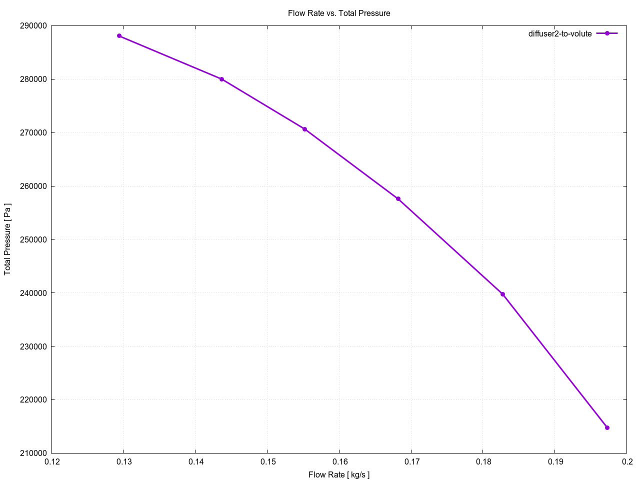
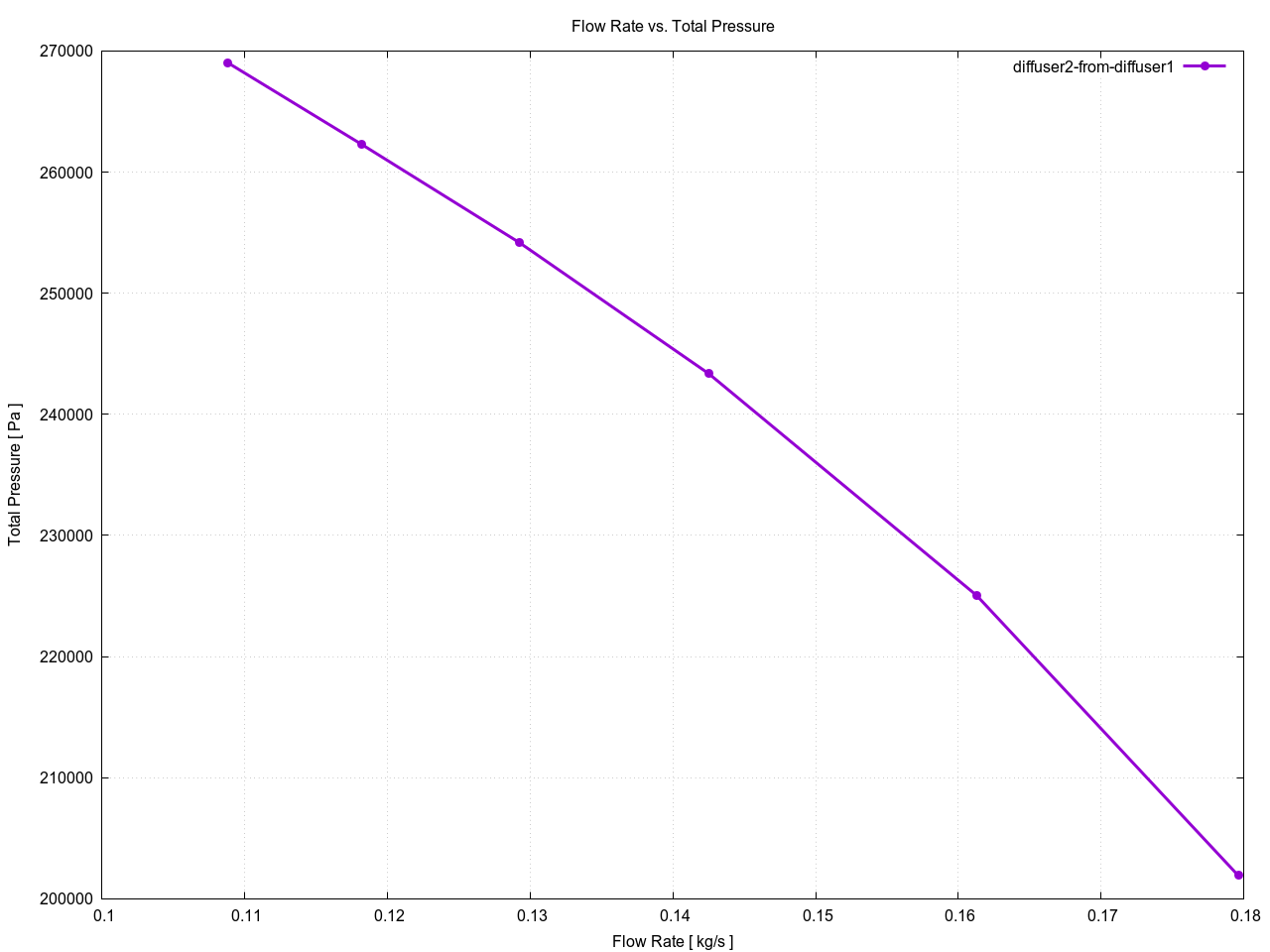
diffuser2-from-diffuser1
0.213238
234916.
1
diffuser2-to-volute
0.213238
230173.
1
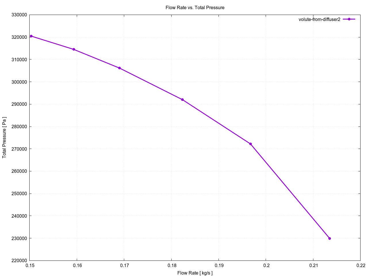
volute-from-diffuser2
0.213490
229925.
1
volute-out
0.213490
215017.
2
impeller-in
0.196501
101344.
2
impeller-to-diffuser1
0.196494
288135.
2
diffuser1-from-impeller
0.196493
279506.
2
diffuser1-to-diffuser2
0.196490
277487.
2
diffuser2-from-diffuser1
0.196499
277471.
2
diffuser2-to-volute
0.196486
272617.
2
volute-from-diffuser2
0.196749
272193.
2
volute-out
0.196692
262013.
3
impeller-in
0.182099
101358.
3
impeller-to-diffuser1
0.182108
308173.
3
diffuser1-from-impeller
0.182106
300369.
3
diffuser1-to-diffuser2
0.182105
297999.
3
diffuser2-from-diffuser1
0.182102
297983.
3
diffuser2-to-volute
0.182089
292446.
3
volute-from-diffuser2
0.182368
291985.
3
volute-out
0.182235
281413.
4
impeller-in
0.168808
101389.
4
impeller-to-diffuser1
0.168799
323550.
4
diffuser1-from-impeller
0.168798
316163.
4
diffuser1-to-diffuser2
0.168793
313408.
4
diffuser2-from-diffuser1
0.168782
313391.
4
diffuser2-to-volute
0.168757
306543.
4
volute-from-diffuser2
0.169040
306131.
4
volute-out
0.168804
293771.
5
impeller-in
0.159103
101432.
5
impeller-to-diffuser1
0.159089
333661.
5
diffuser1-from-impeller
0.159087
326335.
5
diffuser1-to-diffuser2
0.159083
323210.
5
diffuser2-from-diffuser1
0.159067
323193.
5
diffuser2-to-volute
0.159046
314858.
5
volute-from-diffuser2
0.159326
314512.
5
volute-out
0.159115
300311.
6
impeller-in
0.150124
101490.
6
impeller-to-diffuser1
0.150103
342084.
6
diffuser1-from-impeller
0.150102
334668.
6
diffuser1-to-diffuser2
0.150096
331122.
6
diffuser2-from-diffuser1
0.150074
331104.
6
diffuser2-to-volute
0.150047
320766.
6
volute-from-diffuser2
0.150325
320458.
6
volute-out
0.150076
304490.

Total Temperature Difference

1:rotor-inflow — 4:volute-outflow
Point Nr.
Flow Rate [ kg/s ]
Total Temperature Difference [ K ]
1
0.213213
113.004
2
0.196501
128.579
3
0.182099
136.651
4
0.168808
143.265
5
0.159103
147.763
6
0.150124
151.833

Total Temperature per Interfaces

Point Nr.
Interface Name
Flow Rate [ kg/s ]
Total Temperature [ K ]
1
impeller-in
0.213213
313.200
1
impeller-to-diffuser1
0.213213
426.701
1
diffuser1-from-impeller
0.213212
426.173
1
diffuser1-to-diffuser2
0.213212
426.165
1
diffuser2-from-diffuser1
0.213238
426.165
1
diffuser2-to-volute
0.213238
426.137
1
volute-from-diffuser2
0.213490
426.119
1
volute-out
0.213490
426.203
2
impeller-in
0.196501
313.196
2
impeller-to-diffuser1
0.196494
442.438
2
diffuser1-from-impeller
0.196493
441.721
2
diffuser1-to-diffuser2
0.196490
441.714
2
diffuser2-from-diffuser1
0.196499
441.713
2
diffuser2-to-volute
0.196486
441.711
2
volute-from-diffuser2
0.196749
441.702
2
volute-out
0.196692
441.776
3
impeller-in
0.182099
313.202
3
impeller-to-diffuser1
0.182108
450.608
3
diffuser1-from-impeller
0.182106
450.045
3
diffuser1-to-diffuser2
0.182105
450.060
3
diffuser2-from-diffuser1
0.182102
450.058
3
diffuser2-to-volute
0.182089
450.156
3
volute-from-diffuser2
0.182368
450.136
3
volute-out
0.182235
449.853
4
impeller-in
0.168808
313.224
4
impeller-to-diffuser1
0.168799
457.163
4
diffuser1-from-impeller
0.168798
456.747
4
diffuser1-to-diffuser2
0.168793
456.785
4
diffuser2-from-diffuser1
0.168782
456.784
4
diffuser2-to-volute
0.168757
456.983
4
volute-from-diffuser2
0.169040
456.959
4
volute-out
0.168804
456.490
5
impeller-in
0.159103
313.257
5
impeller-to-diffuser1
0.159089
461.664
5
diffuser1-from-impeller
0.159087
461.346
5
diffuser1-to-diffuser2
0.159083
461.398
5
diffuser2-from-diffuser1
0.159067
461.397
5
diffuser2-to-volute
0.159046
461.610
5
volute-from-diffuser2
0.159326
461.581
5
volute-out
0.159115
461.019
6
impeller-in
0.150124
313.302
6
impeller-to-diffuser1
0.150103
465.650
6
diffuser1-from-impeller
0.150102
465.467
6
diffuser1-to-diffuser2
0.150096
465.540
6
diffuser2-from-diffuser1
0.150074
465.539
6
diffuser2-to-volute
0.150047
465.785
6
volute-from-diffuser2
0.150325
465.750
6
volute-out
0.150076
465.135

Velocity Magnitude per Interfaces

Point Nr.
Interface Name
Flow Rate [ kg/s ]
Velocity Magnitude [ m/s ]
1
impeller-in
0.213213
179.130
1
impeller-to-diffuser1
0.213213
309.445
1
diffuser1-from-impeller
0.213212
295.833
1
diffuser1-to-diffuser2
0.213212
282.902
1
diffuser2-from-diffuser1
0.213238
282.938
1
diffuser2-to-volute
0.213238
174.535
1
volute-from-diffuser2
0.213490
174.711
1
volute-out
0.213490
150.599
2
impeller-in
0.196501
168.918
2
impeller-to-diffuser1
0.196494
304.839
2
diffuser1-from-impeller
0.196493
293.858
2
diffuser1-to-diffuser2
0.196490
274.568
2
diffuser2-from-diffuser1
0.196499
274.596
2
diffuser2-to-volute
0.196486
184.249
2
volute-from-diffuser2
0.196749
183.399
2
volute-out
0.196692
111.019
3
impeller-in
0.182099
160.344
3
impeller-to-diffuser1
0.182108
306.974
3
diffuser1-from-impeller
0.182106
297.531
3
diffuser1-to-diffuser2
0.182105
275.405
3
diffuser2-from-diffuser1
0.182102
275.428
3
diffuser2-to-volute
0.182089
190.755
3
volute-from-diffuser2
0.182368
189.946
3
volute-out
0.182235
96.8883
4
impeller-in
0.168808
152.469
4
impeller-to-diffuser1
0.168799
310.677
4
diffuser1-from-impeller
0.168798
302.313
4
diffuser1-to-diffuser2
0.168793
278.046
4
diffuser2-from-diffuser1
0.168782
278.065
4
diffuser2-to-volute
0.168757
196.471
4
volute-from-diffuser2
0.169040
195.868
4
volute-out
0.168804
87.1733
5
impeller-in
0.159103
146.712
5
impeller-to-diffuser1
0.159089
314.238
5
diffuser1-from-impeller
0.159087
306.438
5
diffuser1-to-diffuser2
0.159083
280.709
5
diffuser2-from-diffuser1
0.159067
280.726
5
diffuser2-to-volute
0.159046
200.227
5
volute-from-diffuser2
0.159326
199.872
5
volute-out
0.159115
81.2313
6
impeller-in
0.150124
141.271
6
impeller-to-diffuser1
0.150103
317.984
6
diffuser1-from-impeller
0.150102
310.560
6
diffuser1-to-diffuser2
0.150096
283.520
6
diffuser2-from-diffuser1
0.150074
283.534
6
diffuser2-to-volute
0.150047
203.134
6
volute-from-diffuser2
0.150325
202.931
6
volute-out
0.150076
76.3568

Circumferential and Meridional Angle

Point Nr.
Interface Name
Flow Rate [ kg/s ]
Circumferential Angle [ deg ]
Meridional Angle [ deg ]
1
impeller-in
0.213213
144.373*
0.0447567*
1
impeller-to-diffuser1
0.213213
145.142*
81.5683*
1
diffuser1-from-impeller
0.213212
42.2560
81.6692
1
diffuser1-to-diffuser2
0.213212
45.6556
86.8792
1
diffuser2-from-diffuser1
0.213238
45.6535
86.8749
1
diffuser2-to-volute
0.213238
32.0170
87.3861
1
volute-from-diffuser2
0.213490
32.3849
88.1603
1
volute-out
0.213490
48.7315
75.8661
2
impeller-in
0.196501
144.866*
0.617982*
2
impeller-to-diffuser1
0.196494
148.116*
81.2909*
2
diffuser1-from-impeller
0.196493
32.4064
81.3715
2
diffuser1-to-diffuser2
0.196490
35.3883
86.8382
2
diffuser2-from-diffuser1
0.196499
35.3853
86.8353
2
diffuser2-to-volute
0.196486
23.7921
88.9693
2
volute-from-diffuser2
0.196749
23.5142
89.2084
2
volute-out
0.196692
51.6319
84.3171
3
impeller-in
0.182099
144.024*
1.78723*
3
impeller-to-diffuser1
0.182108
149.694*
81.3080*
3
diffuser1-from-impeller
0.182106
27.7179
81.3689
3
diffuser1-to-diffuser2
0.182105
30.3923
86.7942
3
diffuser2-from-diffuser1
0.182102
30.3890
86.7923
3
diffuser2-to-volute
0.182089
20.7959
89.4444
3
volute-from-diffuser2
0.182368
20.5000
89.7832
3
volute-out
0.182235
50.7818
85.9858
4
impeller-in
0.168808
142.131*
3.48705*
4
impeller-to-diffuser1
0.168799
150.935*
81.4624*
4
diffuser1-from-impeller
0.168798
24.2582
81.4922
4
diffuser1-to-diffuser2
0.168793
26.6758
86.7112
4
diffuser2-from-diffuser1
0.168782
26.6723
86.7105
4
diffuser2-to-volute
0.168757
19.2174
88.5796
4
volute-from-diffuser2
0.169040
19.0340
89.3035
4
volute-out
0.168804
50.1521
86.4043
5
impeller-in
0.159103
140.053*
5.12371*
5
impeller-to-diffuser1
0.159089
151.702*
81.6040*
5
diffuser1-from-impeller
0.159087
22.0636
81.6043
5
diffuser1-to-diffuser2
0.159083
24.3143
86.6057
5
diffuser2-from-diffuser1
0.159067
24.3108
86.6059
5
diffuser2-to-volute
0.159046
18.4835
86.8001
5
volute-from-diffuser2
0.159326
18.4119
88.0343
5
volute-out
0.159115
49.9924
86.6689
6
impeller-in
0.150124
137.686*
6.90042*
6
impeller-to-diffuser1
0.150103
152.255*
81.7071*
6
diffuser1-from-impeller
0.150102
20.2366
81.6947
6
diffuser1-to-diffuser2
0.150096
22.3484
86.4451
6
diffuser2-from-diffuser1
0.150074
22.3450
86.4461
6
diffuser2-to-volute
0.150047
18.1296
84.1116
6
volute-from-diffuser2
0.150325
18.1046
85.4705
6
volute-out
0.150076
50.0152
86.9365
(*) Calculated from the relative velocity.

Blade to Blade View

Setup #1

Setup #2

Setup #3

Meridional Average

Setup #1

Simulation Stats

Test Case Name
eveningTest
Number of Points [ – ]
6
Machine Type
compressor
Rotation Speed [ rad/s ]
15708.0
Number of Components [ – ]
(topology)
4
Mesh Size [ cells ]
(details)
impeller : 557786
diffuser1 : 36895
diffuser2 : 106990
volute : 22230
Total : 723901
Average y+ at walls [ – ]
(details)
185.904
Wall-clock time [ hh:mm:ss ]
06:11:18
Parallel Processors [ – ]
6
Fluid Name
air
Compressibility
compressible

Efficiency

1:rotor-inflow — 4:volute-outflow
Point Nr.
Flow Rate [ kg/s ]
Efficiency [ – ]
1
0.197258
0.689323
2
0.182743
0.760559
3
0.168266
0.781791
4
0.155347
0.783981
5
0.143796
0.777707
6
0.129404
0.760400

Torque

Point Nr.
Torque [ N.m ]
1
1.23510
2
1.26742
3
1.25291
4
1.22085
5
1.17991
6
1.11613

Axial Force

Point Nr.
Axial Force [ N ]
1
-11.8011
2
-12.6955
3
-11.9198
4
-10.4824
5
-8.70410
6
-5.87714

Total Pressure Difference

1:rotor-inflow — 4:volute-outflow
Point Nr.
Flow Rate [ kg/s ]
Total Pressure Difference [ Pa ]
1
0.197258
100193.
2
0.182743
128965.
3
0.168266
147430.
4
0.155347
159619.
5
0.143796
167267.
6
0.129404
172718.

Total Pressure Ratio

1:rotor-inflow — 4:volute-outflow
Point Nr.
Flow Rate [ kg/s ]
Total Pressure Ratio [ – ]
1
0.197258
1.98868
2
0.182743
2.27256
3
0.168266
2.45459
4
0.155347
2.57438
5
0.143796
2.64896
6
0.129404
2.70107

Total Pressure per Interfaces

Point Nr.
Interface Name
Flow Rate [ kg/s ]
Total Pressure [ Pa ]
1
impeller-in
0.197258
101340.
1
impeller-to-diffuser1
0.197258
227816.
1
diffuser1-from-impeller
0.197257
219958.
1
diffuser1-to-diffuser2
0.197257
218694.
1
diffuser2-from-diffuser1
0.197280
218677.
1
diffuser2-to-volute
0.197280
214794.
1
volute-from-diffuser2
0.197525
214582.
1
volute-out
0.197525
201533.
2
impeller-in
0.182743
101343.
2
impeller-to-diffuser1
0.182758
251917.
2
diffuser1-from-impeller
0.182756
245093.
2
diffuser1-to-diffuser2
0.182754
243598.
2
diffuser2-from-diffuser1
0.182767
243583.
2
diffuser2-to-volute
0.182750
239756.
2
volute-from-diffuser2
0.182994
239452.
2
volute-out
0.182878
230307.
3
impeller-in
0.168266
101355.
3
impeller-to-diffuser1
0.168254
269680.
3
diffuser1-from-impeller
0.168253
263528.
3
diffuser1-to-diffuser2
0.168245
261764.
3
diffuser2-from-diffuser1
0.168246
261750.
3
diffuser2-to-volute
0.168208
257578.
3
volute-from-diffuser2
0.168460
257190.
3
volute-out
0.168218
248785.
4
impeller-in
0.155347
101386.
4
impeller-to-diffuser1
0.155297
283509.
4
diffuser1-from-impeller
0.155298
277742.
4
diffuser1-to-diffuser2
0.155283
275659.
4
diffuser2-from-diffuser1
0.155276
275645.
4
diffuser2-to-volute
0.155220
270653.
4
volute-from-diffuser2
0.155475
270302.
4
volute-out
0.155234
261005.
5
impeller-in
0.143796
101438.
5
impeller-to-diffuser1
0.143756
294411.
5
diffuser1-from-impeller
0.143756
288739.
5
diffuser1-to-diffuser2
0.143745
286292.
5
diffuser2-from-diffuser1
0.143731
286278.
5
diffuser2-to-volute
0.143687
279996.
5
volute-from-diffuser2
0.143939
279680.
5
volute-out
0.143756
268705.
6
impeller-in
0.129404
101535.
6
impeller-to-diffuser1
0.129422
306081.
6
diffuser1-from-impeller
0.129422
300461.
6
diffuser1-to-diffuser2
0.129421
297361.
6
diffuser2-from-diffuser1
0.129400
297345.
6
diffuser2-to-volute
0.129399
288081.
6
volute-from-diffuser2
0.129648
287822.
6
volute-out
0.129645
274253.

Total Temperature Difference

1:rotor-inflow — 4:volute-outflow
Point Nr.
Flow Rate [ kg/s ]
Total Temperature Difference [ K ]
1
0.197258
98.9292
2
0.182743
109.207
3
0.168266
117.559
4
0.155347
124.343
5
0.143796
129.702
6
0.129404
135.737

Total Temperature per Interfaces

Point Nr.
Interface Name
Flow Rate [ kg/s ]
Total Temperature [ K ]
1
impeller-in
0.197258
313.192
1
impeller-to-diffuser1
0.197258
412.659
1
diffuser1-from-impeller
0.197257
412.098
1
diffuser1-to-diffuser2
0.197257
412.091
1
diffuser2-from-diffuser1
0.197280
412.091
1
diffuser2-to-volute
0.197280
412.065
1
volute-from-diffuser2
0.197525
412.051
1
volute-out
0.197525
412.121
2
impeller-in
0.182743
313.190
2
impeller-to-diffuser1
0.182758
423.311
2
diffuser1-from-impeller
0.182756
422.641
2
diffuser1-to-diffuser2
0.182754
422.650
2
diffuser2-from-diffuser1
0.182767
422.650
2
diffuser2-to-volute
0.182750
422.732
2
volute-from-diffuser2
0.182994
422.722
2
volute-out
0.182878
422.397
3
impeller-in
0.168266
313.195
3
impeller-to-diffuser1
0.168254
431.275
3
diffuser1-from-impeller
0.168253
430.734
3
diffuser1-to-diffuser2
0.168245
430.747
3
diffuser2-from-diffuser1
0.168246
430.747
3
diffuser2-to-volute
0.168208
430.877
3
volute-from-diffuser2
0.168460
430.868
3
volute-out
0.168218
430.754
4
impeller-in
0.155347
313.217
4
impeller-to-diffuser1
0.155297
437.551
4
diffuser1-from-impeller
0.155298
437.135
4
diffuser1-to-diffuser2
0.155283
437.114
4
diffuser2-from-diffuser1
0.155276
437.113
4
diffuser2-to-volute
0.155220
437.173
4
volute-from-diffuser2
0.155475
437.160
4
volute-out
0.155234
437.559
5
impeller-in
0.143796
313.257
5
impeller-to-diffuser1
0.143756
442.809
5
diffuser1-from-impeller
0.143756
442.463
5
diffuser1-to-diffuser2
0.143745
442.420
5
diffuser2-from-diffuser1
0.143731
442.419
5
diffuser2-to-volute
0.143687
442.409
5
volute-from-diffuser2
0.143939
442.391
5
volute-out
0.143756
442.959
6
impeller-in
0.129404
313.335
6
impeller-to-diffuser1
0.129422
449.163
6
diffuser1-from-impeller
0.129422
449.043
6
diffuser1-to-diffuser2
0.129421
449.029
6
diffuser2-from-diffuser1
0.129400
449.027
6
diffuser2-to-volute
0.129399
449.003
6
volute-from-diffuser2
0.129648
448.976
6
volute-out
0.129645
449.072

Velocity Magnitude per Interfaces

Point Nr.
Interface Name
Flow Rate [ kg/s ]
Velocity Magnitude [ m/s ]
1
impeller-in
0.197258
163.702
1
impeller-to-diffuser1
0.197258
288.219
1
diffuser1-from-impeller
0.197257
276.693
1
diffuser1-to-diffuser2
0.197257
264.865
1
diffuser2-from-diffuser1
0.197280
264.899
1
diffuser2-to-volute
0.197280
164.065
1
volute-from-diffuser2
0.197525
164.220
1
volute-out
0.197525
143.323
2
impeller-in
0.182743
155.202
2
impeller-to-diffuser1
0.182758
284.772
2
diffuser1-from-impeller
0.182756
274.638
2
diffuser1-to-diffuser2
0.182754
258.225
2
diffuser2-from-diffuser1
0.182767
258.253
2
diffuser2-to-volute
0.182750
170.784
2
volute-from-diffuser2
0.182994
170.165
2
volute-out
0.182878
112.897
3
impeller-in
0.168266
146.869
3
impeller-to-diffuser1
0.168254
286.158
3
diffuser1-from-impeller
0.168253
277.366
3
diffuser1-to-diffuser2
0.168245
257.840
3
diffuser2-from-diffuser1
0.168246
257.863
3
diffuser2-to-volute
0.168208
176.844
3
volute-from-diffuser2
0.168460
176.010
3
volute-out
0.168218
96.8169
4
impeller-in
0.155347
139.522
4
impeller-to-diffuser1
0.155297
289.381
4
diffuser1-from-impeller
0.155298
281.621
4
diffuser1-to-diffuser2
0.155283
259.731
4
diffuser2-from-diffuser1
0.155276
259.750
4
diffuser2-to-volute
0.155220
182.136
4
volute-from-diffuser2
0.155475
181.502
4
volute-out
0.155234
86.3185
5
impeller-in
0.143796
132.895
5
impeller-to-diffuser1
0.143756
293.620
5
diffuser1-from-impeller
0.143756
286.496
5
diffuser1-to-diffuser2
0.143745
262.726
5
diffuser2-from-diffuser1
0.143731
262.741
5
diffuser2-to-volute
0.143687
186.912
5
volute-from-diffuser2
0.143939
186.453
5
volute-out
0.143756
78.6454
6
impeller-in
0.129404
124.149
6
impeller-to-diffuser1
0.129422
299.983
6
diffuser1-from-impeller
0.129422
293.627
6
diffuser1-to-diffuser2
0.129421
267.604
6
diffuser2-from-diffuser1
0.129400
267.616
6
diffuser2-to-volute
0.129399
191.653
6
volute-from-diffuser2
0.129648
191.461
6
volute-out
0.129645
70.6333

Circumferential and Meridional Angle

Point Nr.
Interface Name
Flow Rate [ kg/s ]
Circumferential Angle [ deg ]
Meridional Angle [ deg ]
1
impeller-in
0.197258
145.013*
0.0880316*
1
impeller-to-diffuser1
0.197258
145.395*
81.4431*
1
diffuser1-from-impeller
0.197257
42.2681
81.5055
1
diffuser1-to-diffuser2
0.197257
45.7304
86.8819
1
diffuser2-from-diffuser1
0.197280
45.7283
86.8777
1
diffuser2-to-volute
0.197280
32.3965
87.5173
1
volute-from-diffuser2
0.197525
32.7658
88.2603
1
volute-out
0.197525
48.3189
75.5822
2
impeller-in
0.182743
145.343*
0.656791*
2
impeller-to-diffuser1
0.182758
147.568*
81.2843*
2
diffuser1-from-impeller
0.182756
34.6894
81.3405
2
diffuser1-to-diffuser2
0.182754
37.8589
86.8535
2
diffuser2-from-diffuser1
0.182767
37.8562
86.8502
2
diffuser2-to-volute
0.182750
25.8253
88.3447
2
volute-from-diffuser2
0.182994
25.6380
88.8504
2
volute-out
0.182878
51.5940
82.2082
3
impeller-in
0.168266
144.308*
1.95759*
3
impeller-to-diffuser1
0.168254
149.247*
81.2854*
3
diffuser1-from-impeller
0.168253
29.3933
81.3309
3
diffuser1-to-diffuser2
0.168245
32.2512
86.8233
3
diffuser2-from-diffuser1
0.168246
32.2480
86.8210
3
diffuser2-to-volute
0.168208
21.8921
89.4145
3
volute-from-diffuser2
0.168460
21.5842
89.5616
3
volute-out
0.168218
51.2426
85.6084
4
impeller-in
0.155347
142.146*
3.80377*
4
impeller-to-diffuser1
0.155297
150.589*
81.4114*
4
diffuser1-from-impeller
0.155298
25.5255
81.4300
4
diffuser1-to-diffuser2
0.155283
28.1116
86.7714
4
diffuser2-from-diffuser1
0.155276
28.1082
86.7703
4
diffuser2-to-volute
0.155220
19.7181
89.2246
4
volute-from-diffuser2
0.155475
19.4967
89.8005
4
volute-out
0.155234
50.4196
86.2345
5
impeller-in
0.143796
139.169*
6.04964*
5
impeller-to-diffuser1
0.143756
151.608*
81.5864*
5
diffuser1-from-impeller
0.143756
22.5715
81.5720
5
diffuser1-to-diffuser2
0.143745
24.9313
86.6656
5
diffuser2-from-diffuser1
0.143731
24.9279
86.6655
5
diffuser2-to-volute
0.143687
18.5844
87.7205
5
volute-from-diffuser2
0.143939
18.4579
88.6603
5
volute-out
0.143756
50.0670
86.5609
6
impeller-in
0.129404
134.692*
9.30613*
6
impeller-to-diffuser1
0.129422
152.638*
81.8360*
6
diffuser1-from-impeller
0.129422
19.3819
81.7808
6
diffuser1-to-diffuser2
0.129421
21.4955
86.3856
6
diffuser2-from-diffuser1
0.129400
21.4921
86.3868
6
diffuser2-to-volute
0.129399
17.9723
83.0888
6
volute-from-diffuser2
0.129648
17.9369
84.3526
6
volute-out
0.129645
50.0889
87.0661
(*) Calculated from the relative velocity.

Blade to Blade View

Setup #1

Setup #2

Setup #3

Meridional Average

Setup #1

Simulation Stats

Test Case Name
eveningTest
Number of Points [ – ]
6
Machine Type
compressor
Rotation Speed [ rad/s ]
14660.8
Number of Components [ – ]
(topology)
4
Mesh Size [ cells ]
(details)
impeller : 557786
diffuser1 : 36895
diffuser2 : 106990
volute : 22230
Total : 723901
Average y+ at walls [ – ]
(details)
172.734
Wall-clock time [ hh:mm:ss ]
05:57:31
Parallel Processors [ – ]
6
Fluid Name
air
Compressibility
compressible

Efficiency

1:rotor-inflow — 4:volute-outflow
Point Nr.
Flow Rate [ kg/s ]
Efficiency [ – ]
1
0.179605
0.703528
2
0.161342
0.771437
3
0.142570
0.788280
4
0.129322
0.782438
5
0.118249
0.768886
6
0.108749
0.753484

Torque

Point Nr.
Torque [ N.m ]
1
1.04621
2
1.06136
3
1.02749
4
0.984958
5
0.941413
6
0.918981

Axial Force

Point Nr.
Axial Force [ N ]
1
-4.84008
2
-5.03582
3
-3.42565
4
-1.53129
5
0.472987
6
2.65406

Total Pressure Difference

1:rotor-inflow — 4:volute-outflow
Point Nr.
Flow Rate [ kg/s ]
Total Pressure Difference [ Pa ]
1
0.179605
86141.8
2
0.161342
113112.
3
0.142570
130848.
4
0.129322
139162.
5
0.118249
143892.
6
0.108749
146175.

Total Pressure Ratio

1:rotor-inflow — 4:volute-outflow
Point Nr.
Flow Rate [ kg/s ]
Total Pressure Ratio [ – ]
1
0.179605
1.85004
2
0.161342
2.11611
3
0.142570
2.29068
4
0.129322
2.37187
5
0.118249
2.41743
6
0.108749
2.43741

Total Pressure per Interfaces

Point Nr.
Interface Name
Flow Rate [ kg/s ]
Total Pressure [ Pa ]
1
impeller-in
0.179605
101339.
1
impeller-to-diffuser1
0.179606
208929.
1
diffuser1-from-impeller
0.179605
202951.
1
diffuser1-to-diffuser2
0.179605
201926.
1
diffuser2-from-diffuser1
0.179625
201911.
1
diffuser2-to-volute
0.179625
198798.
1
volute-from-diffuser2
0.179855
198622.
1
volute-out
0.179856
187480.
2
impeller-in
0.161342
101345.
2
impeller-to-diffuser1
0.161283
231418.
2
diffuser1-from-impeller
0.161284
226311.
2
diffuser1-to-diffuser2
0.161269
225066.
2
diffuser2-from-diffuser1
0.161278
225052.
2
diffuser2-to-volute
0.161225
221947.
2
volute-from-diffuser2
0.161452
221676.
2
volute-out
0.161273
214458.
3
impeller-in
0.142570
101379.
3
impeller-to-diffuser1
0.142532
249430.
3
diffuser1-from-impeller
0.142533
244938.
3
diffuser1-to-diffuser2
0.142523
243358.
3
diffuser2-from-diffuser1
0.142519
243346.
3
diffuser2-to-volute
0.142483
239632.
3
volute-from-diffuser2
0.142711
239317.
3
volute-out
0.142575
232228.
4
impeller-in
0.129322
101439.
4
impeller-to-diffuser1
0.129279
260423.
4
diffuser1-from-impeller
0.129280
256072.
4
diffuser1-to-diffuser2
0.129269
254177.
4
diffuser2-from-diffuser1
0.129258
254165.
4
diffuser2-to-volute
0.129217
249394.
4
volute-from-diffuser2
0.129445
249116.
4
volute-out
0.129298
240601.
5
impeller-in
0.118249
101516.
5
impeller-to-diffuser1
0.118223
268906.
5
diffuser1-from-impeller
0.118224
264572.
5
diffuser1-to-diffuser2
0.118213
262292.
5
diffuser2-from-diffuser1
0.118196
262279.
5
diffuser2-to-volute
0.118156
255901.
5
volute-from-diffuser2
0.118382
255692.
5
volute-out
0.118233
245408.
6
impeller-in
0.108749
101693.
6
impeller-to-diffuser1
0.108852
276126.
6
diffuser1-from-impeller
0.108849
271744.
6
diffuser1-to-diffuser2
0.108853
269021.
6
diffuser2-from-diffuser1
0.108831
269007.
6
diffuser2-to-volute
0.108815
259995.
6
volute-from-diffuser2
0.109043
259768.
6
volute-out
0.108843
247868.

Total Temperature Difference

1:rotor-inflow — 4:volute-outflow
Point Nr.
Flow Rate [ kg/s ]
Total Temperature Difference [ K ]
1
0.179605
85.8193
2
0.161342
97.2740
3
0.142570
106.519
4
0.129322
112.422
5
0.118249
117.280
6
0.108749
121.000

Total Temperature per Interfaces

Point Nr.
Interface Name
Flow Rate [ kg/s ]
Total Temperature [ K ]
1
impeller-in
0.179605
313.184
1
impeller-to-diffuser1
0.179606
399.560
1
diffuser1-from-impeller
0.179605
398.987
1
diffuser1-to-diffuser2
0.179605
398.980
1
diffuser2-from-diffuser1
0.179625
398.980
1
diffuser2-to-volute
0.179625
398.958
1
volute-from-diffuser2
0.179855
398.947
1
volute-out
0.179856
399.003
2
impeller-in
0.161342
313.185
2
impeller-to-diffuser1
0.161283
410.514
2
diffuser1-from-impeller
0.161284
409.945
2
diffuser1-to-diffuser2
0.161269
409.920
2
diffuser2-from-diffuser1
0.161278
409.920
2
diffuser2-to-volute
0.161225
409.906
2
volute-from-diffuser2
0.161452
409.902
2
volute-out
0.161273
410.459
3
impeller-in
0.142570
313.208
3
impeller-to-diffuser1
0.142532
419.528
3
diffuser1-from-impeller
0.142533
419.127
3
diffuser1-to-diffuser2
0.142523
419.075
3
diffuser2-from-diffuser1
0.142519
419.075
3
diffuser2-to-volute
0.142483
418.998
3
volute-from-diffuser2
0.142711
418.993
3
volute-out
0.142575
419.727
4
impeller-in
0.129322
313.255
4
impeller-to-diffuser1
0.129279
425.388
4
diffuser1-from-impeller
0.129280
425.067
4
diffuser1-to-diffuser2
0.129269
425.001
4
diffuser2-from-diffuser1
0.129258
425.000
4
diffuser2-to-volute
0.129217
424.955
4
volute-from-diffuser2
0.129445
424.942
4
volute-out
0.129298
425.678
5
impeller-in
0.118249
313.318
5
impeller-to-diffuser1
0.118223
430.189
5
diffuser1-from-impeller
0.118224
429.956
5
diffuser1-to-diffuser2
0.118213
429.876
5
diffuser2-from-diffuser1
0.118196
429.875
5
diffuser2-to-volute
0.118156
429.849
5
volute-from-diffuser2
0.118382
429.827
5
volute-out
0.118233
430.597
6
impeller-in
0.108749
313.469
6
impeller-to-diffuser1
0.108852
435.413
6
diffuser1-from-impeller
0.108849
435.337
6
diffuser1-to-diffuser2
0.108853
435.309
6
diffuser2-from-diffuser1
0.108831
435.308
6
diffuser2-to-volute
0.108815
434.946
6
volute-from-diffuser2
0.109043
434.915
6
volute-out
0.108843
434.470

Velocity Magnitude per Interfaces

Point Nr.
Interface Name
Flow Rate [ kg/s ]
Velocity Magnitude [ m/s ]
1
impeller-in
0.179605
147.938
1
impeller-to-diffuser1
0.179606
267.485
1
diffuser1-from-impeller
0.179605
257.310
1
diffuser1-to-diffuser2
0.179605
246.534
1
diffuser2-from-diffuser1
0.179625
246.565
1
diffuser2-to-volute
0.179625
153.364
1
volute-from-diffuser2
0.179855
153.506
1
volute-out
0.179856
135.266
2
impeller-in
0.161342
137.768
2
impeller-to-diffuser1
0.161283
264.945
2
diffuser1-from-impeller
0.161284
256.206
2
diffuser1-to-diffuser2
0.161269
240.388
2
diffuser2-from-diffuser1
0.161278
240.412
2
diffuser2-to-volute
0.161225
160.386
2
volute-from-diffuser2
0.161452
159.685
2
volute-out
0.161273
103.171
3
impeller-in
0.142570
127.387
3
impeller-to-diffuser1
0.142532
268.406
3
diffuser1-from-impeller
0.142533
261.223
3
diffuser1-to-diffuser2
0.142523
241.681
3
diffuser2-from-diffuser1
0.142519
241.699
3
diffuser2-to-volute
0.142483
167.993
3
volute-from-diffuser2
0.142711
167.277
3
volute-out
0.142575
85.3143
4
impeller-in
0.129322
119.982
4
impeller-to-diffuser1
0.129279
273.234
4
diffuser1-from-impeller
0.129280
266.804
4
diffuser1-to-diffuser2
0.129269
245.013
4
diffuser2-from-diffuser1
0.129258
245.028
4
diffuser2-to-volute
0.129217
173.877
4
volute-from-diffuser2
0.129445
173.358
4
volute-out
0.129298
75.7604
5
impeller-in
0.118249
113.548
5
impeller-to-diffuser1
0.118223
278.385
5
diffuser1-from-impeller
0.118224
272.453
5
diffuser1-to-diffuser2
0.118213
248.818
5
diffuser2-from-diffuser1
0.118196
248.829
5
diffuser2-to-volute
0.118156
178.290
5
volute-from-diffuser2
0.118382
178.079
5
volute-out
0.118233
68.8420
6
impeller-in
0.108749
108.890
6
impeller-to-diffuser1
0.108852
283.646
6
diffuser1-from-impeller
0.108849
278.083
6
diffuser1-to-diffuser2
0.108853
252.971
6
diffuser2-from-diffuser1
0.108831
252.979
6
diffuser2-to-volute
0.108815
180.780
6
volute-from-diffuser2
0.109043
180.540
6
volute-out
0.108843
63.4766

Circumferential and Meridional Angle

Point Nr.
Interface Name
Flow Rate [ kg/s ]
Circumferential Angle [ deg ]
Meridional Angle [ deg ]
1
impeller-in
0.179605
145.719*
0.178632*
1
impeller-to-diffuser1
0.179606
145.630*
81.3561*
1
diffuser1-from-impeller
0.179605
42.2280
81.3886
1
diffuser1-to-diffuser2
0.179605
45.7495
86.8853
1
diffuser2-from-diffuser1
0.179625
45.7474
86.8811
1
diffuser2-to-volute
0.179625
32.7127
87.6545
1
volute-from-diffuser2
0.179855
33.0767
88.3695
1
volute-out
0.179856
47.9462
75.3734
2
impeller-in
0.161342
145.370*
1.33093*
2
impeller-to-diffuser1
0.161283
148.109*
81.2448*
2
diffuser1-from-impeller
0.161284
33.4545
81.2797
2
diffuser1-to-diffuser2
0.161269
36.6390
86.8555
2
diffuser2-from-diffuser1
0.161278
36.6362
86.8524
2
diffuser2-to-volute
0.161225
24.9832
88.6847
2
volute-from-diffuser2
0.161452
24.7485
88.9937
2
volute-out
0.161273
51.6550
83.0904
3
impeller-in
0.142570
142.261*
4.02778*
3
impeller-to-diffuser1
0.142532
150.217*
81.3645*
3
diffuser1-from-impeller
0.142533
26.8778
81.3725
3
diffuser1-to-diffuser2
0.142523
29.6429
86.8121
3
diffuser2-from-diffuser1
0.142519
29.6397
86.8104
3
diffuser2-to-volute
0.142483
20.4232
89.5613
3
volute-from-diffuser2
0.142711
20.1402
89.8742
3
volute-out
0.142575
50.7761
86.0511
4
impeller-in
0.129322
138.271*
6.95029*
4
impeller-to-diffuser1
0.129279
151.487*
81.5821*
4
diffuser1-from-impeller
0.129280
23.0625
81.5541
4
diffuser1-to-diffuser2
0.129269
25.5289
86.7122
4
diffuser2-from-diffuser1
0.129258
25.5255
86.7120
4
diffuser2-to-volute
0.129217
18.7471
88.3811
4
volute-from-diffuser2
0.129445
18.5773
89.1113
4
volute-out
0.129298
50.1529
86.4776
5
impeller-in
0.118249
134.138*
9.85533*
5
impeller-to-diffuser1
0.118223
152.436*
81.8560*
5
diffuser1-from-impeller
0.118224
20.2351
81.7788
5
diffuser1-to-diffuser2
0.118213
22.4713
86.5350
5
diffuser2-from-diffuser1
0.118196
22.4680
86.5359
5
diffuser2-to-volute
0.118156
17.9801
85.0962
5
volute-from-diffuser2
0.118382
17.9491
86.4740
5
volute-out
0.118233
50.0786
86.8704
6
impeller-in
0.108749
125.999*
14.3740*
6
impeller-to-diffuser1
0.108852
153.112*
82.1309*
6
diffuser1-from-impeller
0.108849
18.0422
82.0172
6
diffuser1-to-diffuser2
0.108853
20.0943
86.2101
6
diffuser2-from-diffuser1
0.108831
20.0912
86.2118
6
diffuser2-to-volute
0.108815
17.7989
80.6157
6
volute-from-diffuser2
0.109043
17.7220
81.6869
6
volute-out
0.108843
50.2199
87.3689
(*) Calculated from the relative velocity.

Blade to Blade View

Setup #1

Setup #2

Setup #3

Meridional Average

Setup #1