Simulation Stats

Test Case Name
eveningTest
Number of Points [ – ]
5
Machine Type
pump
Rotation Speed [ rad/s ]
-30.7876
Number of Components [ – ]
(topology)
4
Mesh Size [ cells ]
(details)
inflow : 44910
impeller : 56842
stator : 76428
outflow : 32400
Total : 210580
Average y+ at walls [ – ]
(details)
188.807
Wall-clock time [ hh:mm:ss ]
01:48:15
Parallel Processors [ – ]
6
Fluid Name
water
Compressibility
incompressible

Head

1:inflow-inlet — 4:outflow-outlet
Point Nr.
Flow Rate [ m3/s ]
Head [ m ]
1
15.0000
35.0068
2
14.5000
37.0687
3
14.0000
38.4118
4
13.5000
39.7441
5
13.0000
40.2197

Efficiency

1:inflow-inlet — 4:outflow-outlet
Point Nr.
Flow Rate [ m3/s ]
Efficiency [ – ]
1
15.0000
0.863595
2
14.5000
0.881290
3
14.0000
0.879567
4
13.5000
0.877111
5
13.0000
0.854787

Torque

Point Nr.
Torque [ N.m ]
1
192983.
2
193577.
3
194065.
4
194167.
5
194158.

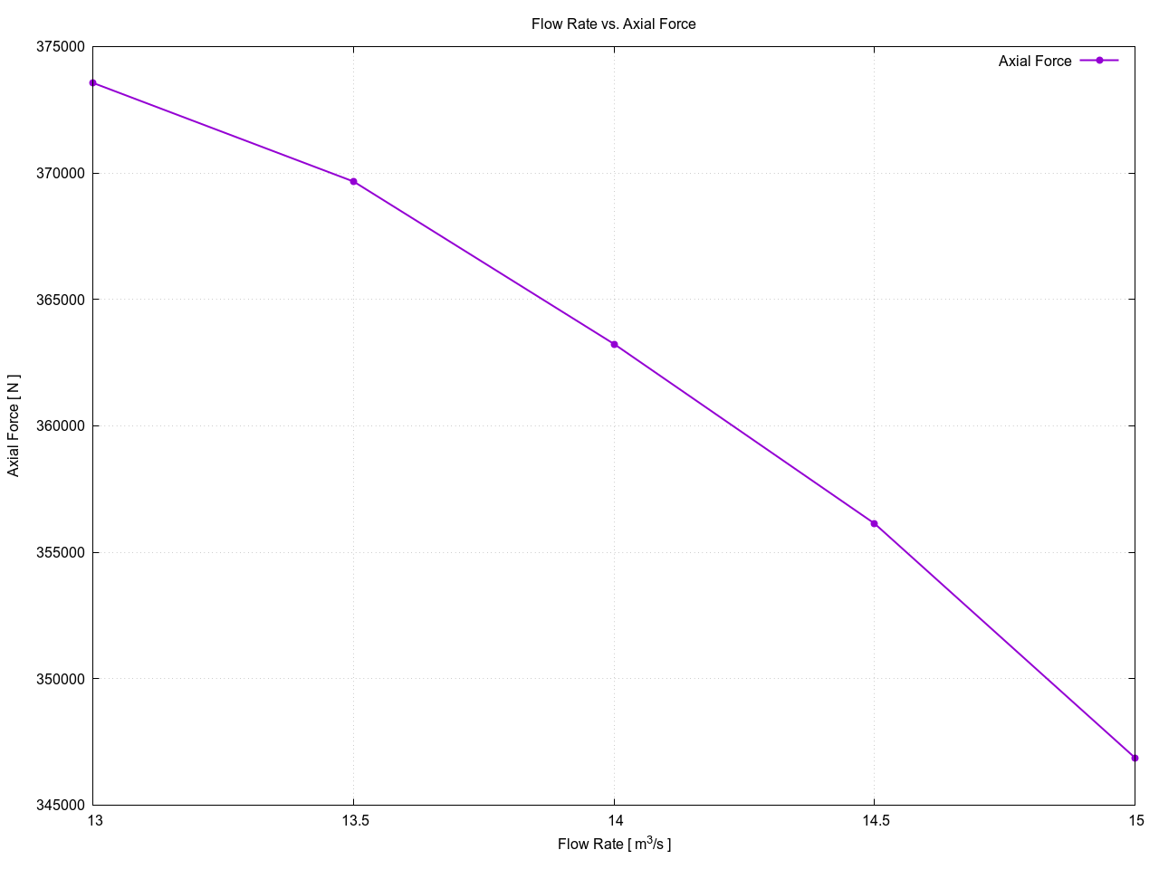
Axial Force

Point Nr.
Axial Force [ N ]
1
346871.
2
356132.
3
363234.
4
369658.
5
373556.

Total Pressure Difference

1:inflow-inlet — 4:outflow-outlet
Point Nr.
Flow Rate [ m3/s ]
Total Pressure Difference [ Pa ]
1
15.0000
342043.
2
14.5000
362189.
3
14.0000
375312.
4
13.5000
388330.
5
13.0000
392977.

Total Pressure per Interfaces

Point Nr.
Interface Name
Flow Rate [ m3/s ]
Total Pressure [ Pa ]
1
inflow-in
15.0000
167146.
1
inflow-to-impeller
15.0000
164627.
1
impeller-from-inflow
14.9968
164620.
1
impeller-to-stator
15.0032
529020.
1
stator-from-impeller
15.0022
1.13444 × 106
1
stator-to-outflow
15.0022
513968.
1
outflow-from-stator
15.0021
513645.
1
outflow-out
15.0021
509189.
2
inflow-in
14.5000
146226.
2
inflow-to-impeller
14.5000
143867.
2
impeller-from-inflow
14.4969
143860.
2
impeller-to-stator
14.5033
520581.
2
stator-from-impeller
14.5031
1.62776 × 106
2
stator-to-outflow
14.5031
512878.
2
outflow-from-stator
14.5030
512494.
2
outflow-out
14.5030
508415.
3
inflow-in
14.0000
132410.
3
inflow-to-impeller
14.0000
130206.
3
impeller-from-inflow
13.9969
130199.
3
impeller-to-stator
14.0034
522036.
3
stator-from-impeller
14.0047
524377.
3
stator-to-outflow
14.0046
511508.
3
outflow-from-stator
14.0046
511401.
3
outflow-out
14.0046
507723.
4
inflow-in
13.5000
119124.
4
inflow-to-impeller
13.5000
117068.
4
impeller-from-inflow
13.4970
117062.
4
impeller-to-stator
13.5034
523018.
4
stator-from-impeller
13.5047
523959.
4
stator-to-outflow
13.5046
510951.
4
outflow-from-stator
13.5045
510813.
4
outflow-out
13.5044
507454.
5
inflow-in
13.0000
114729.
5
inflow-to-impeller
13.0000
112818.
5
impeller-from-inflow
12.9971
112812.
5
impeller-to-stator
13.0035
534505.
5
stator-from-impeller
13.0047
534007.
5
stator-to-outflow
13.0048
512844.
5
outflow-from-stator
13.0047
512613.
5
outflow-out
13.0047
507707.

Velocity Magnitude per Interfaces

Point Nr.
Interface Name
Flow Rate [ m3/s ]
Velocity Magnitude [ m/s ]
1
inflow-in
15.0000
7.89053
1
inflow-to-impeller
15.0000
8.71962
1
impeller-from-inflow
14.9968
8.71802
1
impeller-to-stator
15.0032
13.4595
1
stator-from-impeller
15.0022
13.8808
1
stator-to-outflow
15.0022
4.91364
1
outflow-from-stator
15.0021
4.86616
1
outflow-out
15.0021
3.79587
2
inflow-in
14.5000
7.62751
2
inflow-to-impeller
14.5000
8.42827
2
impeller-from-inflow
14.4969
8.42671
2
impeller-to-stator
14.5033
13.7108
2
stator-from-impeller
14.5031
14.0911
2
stator-to-outflow
14.5031
4.61511
2
outflow-from-stator
14.5030
4.55814
2
outflow-out
14.5030
3.61744
3
inflow-in
14.0000
7.36449
3
inflow-to-impeller
14.0000
8.13729
3
impeller-from-inflow
13.9969
8.13576
3
impeller-to-stator
14.0034
14.0830
3
stator-from-impeller
14.0047
14.2942
3
stator-to-outflow
14.0046
4.37688
3
outflow-from-stator
14.0046
4.35762
3
outflow-out
14.0046
3.44711
4
inflow-in
13.5000
7.10148
4
inflow-to-impeller
13.5000
7.84671
4
impeller-from-inflow
13.4970
7.84521
4
impeller-to-stator
13.5034
14.4076
4
stator-from-impeller
13.5047
14.5315
4
stator-to-outflow
13.5046
4.28213
4
outflow-from-stator
13.5045
4.25892
4
outflow-out
13.5044
3.36429
5
inflow-in
13.0000
6.83846
5
inflow-to-impeller
13.0000
7.55655
5
impeller-from-inflow
12.9971
7.55507
5
impeller-to-stator
13.0035
14.7547
5
stator-from-impeller
13.0047
14.7266
5
stator-to-outflow
13.0048
4.71121
5
outflow-from-stator
13.0047
4.67817
5
outflow-out
13.0047
3.42388

Circumferential and Meridional Angle

Point Nr.
Interface Name
Flow Rate [ m3/s ]
Circumferential Angle [ deg ]
Meridional Angle [ deg ]
1
inflow-in
15.0000
90.0000
-1.32744 × 10-6
1
inflow-to-impeller
15.0000
89.6002
25.6533
1
impeller-from-inflow
14.9968
157.981*
25.6604*
1
impeller-to-stator
15.0032
162.492*
19.5337*
1
stator-from-impeller
15.0022
152.155
19.0975
1
stator-to-outflow
15.0022
130.263
-4.91600
1
outflow-from-stator
15.0021
130.594
-4.80398
1
outflow-out
15.0021
125.772
-0.287191
2
inflow-in
14.5000
90.0000
-1.32744 × 10-6
2
inflow-to-impeller
14.5000
89.6040
25.6147
2
impeller-from-inflow
14.4969
158.637*
25.6217*
2
impeller-to-stator
14.5033
162.359*
18.9583*
2
stator-from-impeller
14.5031
152.301
18.1390
2
stator-to-outflow
14.5031
130.624
-5.20666
2
outflow-from-stator
14.5030
130.978
-5.02833
2
outflow-out
14.5030
125.443
-0.334962
3
inflow-in
14.0000
90.0000
-1.32744 × 10-6
3
inflow-to-impeller
14.0000
89.6084
25.5731
3
impeller-from-inflow
13.9969
159.299*
25.5802*
3
impeller-to-stator
14.0034
162.582*
18.2995*
3
stator-from-impeller
14.0047
155.597
17.7475
3
stator-to-outflow
14.0046
130.108
-4.97105
3
outflow-from-stator
14.0046
130.304
-4.93651
3
outflow-out
14.0046
124.937
-0.335821
4
inflow-in
13.5000
90.0000
-1.32744 × 10-6
4
inflow-to-impeller
13.5000
89.6137
25.5259
4
impeller-from-inflow
13.4970
159.965*
25.5330*
4
impeller-to-stator
13.5034
162.805*
17.9622*
4
stator-from-impeller
13.5047
157.286
17.6044
4
stator-to-outflow
13.5046
129.637
-4.27600
4
outflow-from-stator
13.5045
129.861
-4.25488
4
outflow-out
13.5044
125.518
-0.359806
5
inflow-in
13.0000
90.0000
-1.32744 × 10-6
5
inflow-to-impeller
13.0000
89.6201
25.4685
5
impeller-from-inflow
12.9971
160.636*
25.4757*
5
impeller-to-stator
13.0035
163.405*
17.8285*
5
stator-from-impeller
13.0047
159.513
17.8315
5
stator-to-outflow
13.0048
133.754
-3.14061
5
outflow-from-stator
13.0047
134.047
-3.07464
5
outflow-out
13.0047
130.019
-0.312797
(*) Calculated from the relative velocity.

Cavitation Risk

Point Nr.
Flow Rate [ m3/s ]
Cavitating Volume [ m3 ]
Cavitating Volume [ % ]
1
15.0000
2.28460 × 10-6
2.17449 × 10-5
2
14.5000
1.78706 × 10-5
1.70092 × 10-4
3
14.0000
7.99352 × 10-5
7.60825 × 10-4
4
13.5000
2.87422 × 10-4
0.00273569
5
13.0000
5.18647 × 10-4
0.00493649

Cavitation Index

Point Nr.
Flow Rate [ m3/s ]
Cavitating Volume [ – ]
1
15.0000
2.18634
2
14.5000
2.03282
3
14.0000
1.95264
4
13.5000
1.86507
5
13.0000
1.96437

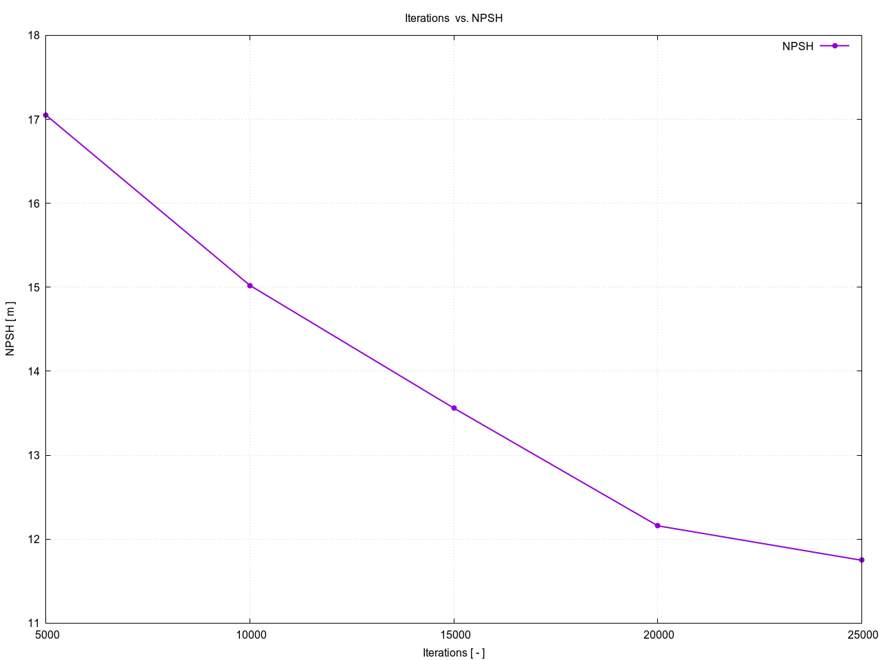
Net Positive Suction Head

Point Nr.
Flow Rate [ m3/s ]
NPSH [ m ]
1
15.0000
17.0492
2
14.5000
15.0211
3
14.0000
13.5597
4
13.5000
12.1583
5
13.0000
11.7477

Blade to Blade View

Setup #1

Setup #2

Setup #3

Meridional Average

Setup #1